simpowa: A simulation-based power analysis R package for semi-field vector control trials

A simpowa R package simulates mosquito count data under short- and long-term semi-field experimental design scenarios, evaluating single or combined interventions. The package incorporates fixed treatment effects, random chamber-level or sampling time-level variability to support robust power analysis for short- or long-term semi-field experimental planning.

This package is an extension of a simulation based power analysis framework developed by Kipingu et. al 2025. Therefore, all parameter values for the examples below are taken directly from the same study. Visit Kipingu et al. 2025 or Johnson et al. 2014 for more information and description regarding simulation-based power analysis.

Installation of simpowa package

You can install the development version of simpowa package directly from GitHub with:

# # First, install.packages("devtools") if not already installed in your RStudio.

# -------------------------------
# Setup: install or load required packages
# -------------------------------

# List all CRAN packages your Rmd needs
required_cran <- c("rmarkdown", "knitr", "ggplot2", "dplyr", "tidyr", "remotes", "devtools")

# Install any missing CRAN packages
for (pkg in required_cran) {
  if (!requireNamespace(pkg, quietly = TRUE)) {
        suppressMessages(suppressWarnings(
    install.packages(pkg, repos = "https://cloud.r-project.org")
  ))
  }
}

# Load CRAN packages
lapply(required_cran, library, character.only = TRUE)

# Install 'simpowa' from GitHub if not already installed
if (!requireNamespace("simpowa", quietly = TRUE)) {
  devtools::install_github("akipingu/simpowa")
}

# Load 'simpowa' package
library(simpowa)

If you use simpowa in your research or publications, please cite it appropriately as follows:

#cite this package
citation("simpowa")
#> To cite simpowa in publications use:
#> 
#>   Kipingu, A.M., Viana, M., Johnson, P.C.D., Kiware, S.S. (2025).
#>   "simpowa: A simulation-based power analysis R package for semi-field
#>   vector control trials." R package available at GitHub.
#>   <https://github.com/akipingu/simpowa>.
#> 
#> A BibTeX entry for LaTeX users is
#> 
#>   @Misc{,
#>     author = {{Kipingu, A.M.} and {Viana, M.} and {Johnson, P.C.D.} and {Kiware, S.S.}},
#>     title = {simpowa: A simulation-based power analysis R package for semi-field vector control trials},
#>     year = {2025},
#>     howpublished = {R package available at GitHub},
#>     url = {https://github.com/akipingu/simpowa},
#>   }

Example I: Estimating power of a short-term SFE testing single intervention

This is a basic example which shows you how to apply the simpowa package to estimate power of a short-term SFE

I. Simulate a table of scenarios based on number of chamber per treatment provided, e.g., n.ch.per.trt=4. After specifying number of chamber per each treatment (control vs. intervention), the function sim.scen.shortsfe.sinint will output three columns including number of chambers per each treatment (replicates), treatment status as intvn (0 for control and 1 for intervention) and id for each individual chamber/replicate.

scen.table <- sim.scen.shortsfe.sinint(n.ch.per.trt = 4)

#print a scenario table
scen.table
#>   replicates intvn chamber
#> 1          1     0     0-1
#> 2          2     0     0-2
#> 3          3     0     0-3
#> 4          4     0     0-4
#> 5          1     1     1-1
#> 6          2     1     1-2
#> 7          3     1     1-3
#> 8          4     1     1-4
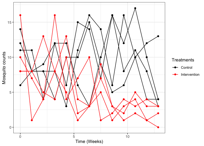
  1. Simulate mosquitoes counts/abundance by specifying the number of chambers per treatment, e.g., n.ch.per.trt = 4, expected mosquitoes to be recaptured from a control chamber, e.g., lambda=50, intervention effect, e.g., intvn.effect = 0.8 for 80% effect, and chamber-level variance, e.g., chamber.var = 0.1807. The resultant number of mosquitoes will be either with random effect included or without including the random effect. Below, columns 4, 5 and 6 because they are optional but you can print them if you want. Remember our main target is the mosquito abundance that account for chamber random effect. The use.random has four options to output mosquito count column either with the use of random effect (TRUE), fixed effect only (FALSE), only fixed effect from exponential function rather than from a known statistical distribution (NULL) or all mosquito count columns (“ALL”). Below I set use.random = “ALL” as an example.
sim.mosquitoes <- sim.mosq.shortsfe.sinint(
  n.ch.per.trt = 4,
  lambda = 50,
  intvn.effect = 0.8,
  chamber.var = 0.1807,
  use.random = "ALL"
)
#output mosquito counts per each chamber per each treatment
sim.mosquitoes <- sim.mosquitoes[, c(-4,-5,-6)]
sim.mosquitoes
#>   replicates intvn chamber mosquito.count.fixed mosquito.count.random
#> 1          1     0     0-1                   61                    19
#> 2          2     0     0-2                   49                    74
#> 3          3     0     0-3                   44                    36
#> 4          4     0     0-4                   42                    78
#> 5          1     1     1-1                    6                     7
#> 6          2     1     1-2                   13                    18
#> 7          3     1     1-3                   11                     8
#> 8          4     1     1-4                   11                    11
  1. Plot the simulated mosquitoes. This function plots a box plot with an option to jitter points if jitter=TURE and without jittering if jitter=FALSE. The use.random option is also used in this function with only TRUE, FALSE or NULL as explained in (2) above
sim.plot.shortsfe.sinint(
  n.ch.per.trt = 4,
  lambda = 50,
  intvn.effect = 0.8,
  chamber.var = 0.1807,
  use.random = TRUE,
  jitter = TRUE
)

  1. Estimate p-value using sim.pval.shortsfe.sinint function by specifying the number of chambers per treatment, e.g., n.ch.per.trt = 4, expected mosquitoes to be recaptured from a control chamber, e.g., lambda=50, intervention effect, e.g., intvn.effect = 0.8 for 80% effect, and chamber-level variance, e.g., chamber.var = 0.1807. The p-value estimation is based on mosquito abundance that accounted for random chamber effect. The use.random option is also used in this function with only TRUE or FALSE as explained in (ii) above
pvalue <- sim.pval.shortsfe.sinint(
    n.ch.per.trt = 4,
  lambda = 50,
  intvn.effect = 0.8,
  chamber.var = 0.1807,
  use.random = TRUE
)

#output the p-values
pvalue
#>       pvalue 
#> 6.377279e-13

V. Since power cannot be estimated from a single simulation, there is a need to simulate multiple data sets and estimate power. Now you can estimate power by specifying the number of chambers per treatment, e.g., n.ch.per.trt = 4, expected mosquitoes to be recaptured from a control chamber, e.g., lambda=50, intervention effect, e.g., intvn.effect = 0.8 for 80% effect, chamber-level variance, e.g., chamber.var = 0.1807, and the total simulations, e.g., nsim=100. A 100 simulations are just for illustration purpose, but it is recommended to run at least 1000 simulations if you are estimating power for a real experiment. The power estimation is based on mosquito abundance that accounted for random chamber effect. The use.random option is also used in this function with only TRUE or FALSE as explained in (ii) above.

power.estimate <- sim.power.shortsfe.sinint(n.ch.per.trt = 4,
  lambda = 50,
  intvn.effect = 0.8,
  chamber.var = 0.1807, 
  nsim = 100,
  use.random = TRUE
  )
#>   |                                                                              |                                                                      |   0%  |                                                                              |=                                                                     |   1%  |                                                                              |=                                                                     |   2%  |                                                                              |==                                                                    |   3%  |                                                                              |===                                                                   |   4%  |                                                                              |====                                                                  |   5%  |                                                                              |====                                                                  |   6%  |                                                                              |=====                                                                 |   7%  |                                                                              |======                                                                |   8%  |                                                                              |======                                                                |   9%  |                                                                              |=======                                                               |  10%  |                                                                              |========                                                              |  11%  |                                                                              |========                                                              |  12%  |                                                                              |=========                                                             |  13%  |                                                                              |==========                                                            |  14%  |                                                                              |==========                                                            |  15%  |                                                                              |===========                                                           |  16%  |                                                                              |============                                                          |  17%  |                                                                              |=============                                                         |  18%  |                                                                              |=============                                                         |  19%  |                                                                              |==============                                                        |  20%  |                                                                              |===============                                                       |  21%  |                                                                              |===============                                                       |  22%  |                                                                              |================                                                      |  23%  |                                                                              |=================                                                     |  24%  |                                                                              |==================                                                    |  25%  |                                                                              |==================                                                    |  26%  |                                                                              |===================                                                   |  27%  |                                                                              |====================                                                  |  28%  |                                                                              |====================                                                  |  29%  |                                                                              |=====================                                                 |  30%  |                                                                              |======================                                                |  31%  |                                                                              |======================                                                |  32%  |                                                                              |=======================                                               |  33%  |                                                                              |========================                                              |  34%  |                                                                              |========================                                              |  35%  |                                                                              |=========================                                             |  36%  |                                                                              |==========================                                            |  37%  |                                                                              |===========================                                           |  38%  |                                                                              |===========================                                           |  39%  |                                                                              |============================                                          |  40%  |                                                                              |=============================                                         |  41%  |                                                                              |=============================                                         |  42%  |                                                                              |==============================                                        |  43%  |                                                                              |===============================                                       |  44%  |                                                                              |================================                                      |  45%  |                                                                              |================================                                      |  46%  |                                                                              |=================================                                     |  47%  |                                                                              |==================================                                    |  48%  |                                                                              |==================================                                    |  49%  |                                                                              |===================================                                   |  50%  |                                                                              |====================================                                  |  51%  |                                                                              |====================================                                  |  52%  |                                                                              |=====================================                                 |  53%  |                                                                              |======================================                                |  54%  |                                                                              |======================================                                |  55%  |                                                                              |=======================================                               |  56%  |                                                                              |========================================                              |  57%  |                                                                              |=========================================                             |  58%  |                                                                              |=========================================                             |  59%  |                                                                              |==========================================                            |  60%  |                                                                              |===========================================                           |  61%  |                                                                              |===========================================                           |  62%  |                                                                              |============================================                          |  63%  |                                                                              |=============================================                         |  64%  |                                                                              |==============================================                        |  65%  |                                                                              |==============================================                        |  66%  |                                                                              |===============================================                       |  67%  |                                                                              |================================================                      |  68%  |                                                                              |================================================                      |  69%  |                                                                              |=================================================                     |  70%  |                                                                              |==================================================                    |  71%  |                                                                              |==================================================                    |  72%  |                                                                              |===================================================                   |  73%  |                                                                              |====================================================                  |  74%  |                                                                              |====================================================                  |  75%  |                                                                              |=====================================================                 |  76%  |                                                                              |======================================================                |  77%  |                                                                              |=======================================================               |  78%  |                                                                              |=======================================================               |  79%  |                                                                              |========================================================              |  80%  |                                                                              |=========================================================             |  81%  |                                                                              |=========================================================             |  82%  |                                                                              |==========================================================            |  83%  |                                                                              |===========================================================           |  84%  |                                                                              |============================================================          |  85%  |                                                                              |============================================================          |  86%  |                                                                              |=============================================================         |  87%  |                                                                              |==============================================================        |  88%  |                                                                              |==============================================================        |  89%  |                                                                              |===============================================================       |  90%  |                                                                              |================================================================      |  91%  |                                                                              |================================================================      |  92%  |                                                                              |=================================================================     |  93%  |                                                                              |==================================================================    |  94%  |                                                                              |==================================================================    |  95%  |                                                                              |===================================================================   |  96%  |                                                                              |====================================================================  |  97%  |                                                                              |===================================================================== |  98%  |                                                                              |===================================================================== |  99%  |                                                                              |======================================================================| 100%

#print estimated power
round(power.estimate,2)
#>    power ci.lower ci.upper 
#>     1.00     0.96     1.00
  1. Now you use the function to estimate power for varied number of chambers per treatment, e.g., 2,4,6,8. You can repeat this stage for all the power estimation functions in the package. Note that, this step is not necessary but we are showing it here to demonstrate the robustness of the package.
# Define treatment sizes
n.ch.values <- c(2, 4, 6, 8)

# Initialize storage
power.df <- data.frame(
  n.ch.per.trt = n.ch.values,
  power = NA,
  ci.lower = NA,
  ci.upper = NA
)

# Run simulations and extract power + confidence intervals
for (i in seq_along(n.ch.values)) {
  n <- n.ch.values[i]
  
  result <- sim.power.shortsfe.sinint(
    n.ch.per.trt = n,
    lambda = 50,
    intvn.effect = 0.8,
    chamber.var = 0.1807,
    nsim = 100,
    use.random = TRUE
  )
  
  # Store results
  power.df$power[i] <- result["power"]
  power.df$ci.lower[i] <- result["ci.lower"]
  power.df$ci.upper[i] <- result["ci.upper"]
}
#>   |                                                                              |                                                                      |   0%  |                                                                              |=                                                                     |   1%  |                                                                              |=                                                                     |   2%  |                                                                              |==                                                                    |   3%  |                                                                              |===                                                                   |   4%  |                                                                              |====                                                                  |   5%  |                                                                              |====                                                                  |   6%  |                                                                              |=====                                                                 |   7%  |                                                                              |======                                                                |   8%  |                                                                              |======                                                                |   9%  |                                                                              |=======                                                               |  10%  |                                                                              |========                                                              |  11%  |                                                                              |========                                                              |  12%  |                                                                              |=========                                                             |  13%  |                                                                              |==========                                                            |  14%  |                                                                              |==========                                                            |  15%  |                                                                              |===========                                                           |  16%  |                                                                              |============                                                          |  17%  |                                                                              |=============                                                         |  18%  |                                                                              |=============                                                         |  19%  |                                                                              |==============                                                        |  20%  |                                                                              |===============                                                       |  21%  |                                                                              |===============                                                       |  22%  |                                                                              |================                                                      |  23%  |                                                                              |=================                                                     |  24%  |                                                                              |==================                                                    |  25%  |                                                                              |==================                                                    |  26%  |                                                                              |===================                                                   |  27%  |                                                                              |====================                                                  |  28%  |                                                                              |====================                                                  |  29%  |                                                                              |=====================                                                 |  30%  |                                                                              |======================                                                |  31%  |                                                                              |======================                                                |  32%  |                                                                              |=======================                                               |  33%  |                                                                              |========================                                              |  34%  |                                                                              |========================                                              |  35%  |                                                                              |=========================                                             |  36%  |                                                                              |==========================                                            |  37%  |                                                                              |===========================                                           |  38%  |                                                                              |===========================                                           |  39%  |                                                                              |============================                                          |  40%  |                                                                              |=============================                                         |  41%  |                                                                              |=============================                                         |  42%  |                                                                              |==============================                                        |  43%  |                                                                              |===============================                                       |  44%  |                                                                              |================================                                      |  45%  |                                                                              |================================                                      |  46%  |                                                                              |=================================                                     |  47%  |                                                                              |==================================                                    |  48%  |                                                                              |==================================                                    |  49%  |                                                                              |===================================                                   |  50%  |                                                                              |====================================                                  |  51%  |                                                                              |====================================                                  |  52%  |                                                                              |=====================================                                 |  53%  |                                                                              |======================================                                |  54%  |                                                                              |======================================                                |  55%  |                                                                              |=======================================                               |  56%  |                                                                              |========================================                              |  57%  |                                                                              |=========================================                             |  58%  |                                                                              |=========================================                             |  59%  |                                                                              |==========================================                            |  60%  |                                                                              |===========================================                           |  61%  |                                                                              |===========================================                           |  62%  |                                                                              |============================================                          |  63%  |                                                                              |=============================================                         |  64%  |                                                                              |==============================================                        |  65%  |                                                                              |==============================================                        |  66%  |                                                                              |===============================================                       |  67%  |                                                                              |================================================                      |  68%  |                                                                              |================================================                      |  69%  |                                                                              |=================================================                     |  70%  |                                                                              |==================================================                    |  71%  |                                                                              |==================================================                    |  72%  |                                                                              |===================================================                   |  73%  |                                                                              |====================================================                  |  74%  |                                                                              |====================================================                  |  75%  |                                                                              |=====================================================                 |  76%  |                                                                              |======================================================                |  77%  |                                                                              |=======================================================               |  78%  |                                                                              |=======================================================               |  79%  |                                                                              |========================================================              |  80%  |                                                                              |=========================================================             |  81%  |                                                                              |=========================================================             |  82%  |                                                                              |==========================================================            |  83%  |                                                                              |===========================================================           |  84%  |                                                                              |============================================================          |  85%  |                                                                              |============================================================          |  86%  |                                                                              |=============================================================         |  87%  |                                                                              |==============================================================        |  88%  |                                                                              |==============================================================        |  89%  |                                                                              |===============================================================       |  90%  |                                                                              |================================================================      |  91%  |                                                                              |================================================================      |  92%  |                                                                              |=================================================================     |  93%  |                                                                              |==================================================================    |  94%  |                                                                              |==================================================================    |  95%  |                                                                              |===================================================================   |  96%  |                                                                              |====================================================================  |  97%  |                                                                              |===================================================================== |  98%  |                                                                              |===================================================================== |  99%  |                                                                              |======================================================================| 100%
#>   |                                                                              |                                                                      |   0%  |                                                                              |=                                                                     |   1%  |                                                                              |=                                                                     |   2%  |                                                                              |==                                                                    |   3%  |                                                                              |===                                                                   |   4%  |                                                                              |====                                                                  |   5%  |                                                                              |====                                                                  |   6%  |                                                                              |=====                                                                 |   7%  |                                                                              |======                                                                |   8%  |                                                                              |======                                                                |   9%  |                                                                              |=======                                                               |  10%  |                                                                              |========                                                              |  11%  |                                                                              |========                                                              |  12%  |                                                                              |=========                                                             |  13%  |                                                                              |==========                                                            |  14%  |                                                                              |==========                                                            |  15%  |                                                                              |===========                                                           |  16%  |                                                                              |============                                                          |  17%  |                                                                              |=============                                                         |  18%  |                                                                              |=============                                                         |  19%  |                                                                              |==============                                                        |  20%  |                                                                              |===============                                                       |  21%  |                                                                              |===============                                                       |  22%  |                                                                              |================                                                      |  23%  |                                                                              |=================                                                     |  24%  |                                                                              |==================                                                    |  25%  |                                                                              |==================                                                    |  26%  |                                                                              |===================                                                   |  27%  |                                                                              |====================                                                  |  28%  |                                                                              |====================                                                  |  29%  |                                                                              |=====================                                                 |  30%  |                                                                              |======================                                                |  31%  |                                                                              |======================                                                |  32%  |                                                                              |=======================                                               |  33%  |                                                                              |========================                                              |  34%  |                                                                              |========================                                              |  35%  |                                                                              |=========================                                             |  36%  |                                                                              |==========================                                            |  37%  |                                                                              |===========================                                           |  38%  |                                                                              |===========================                                           |  39%  |                                                                              |============================                                          |  40%  |                                                                              |=============================                                         |  41%  |                                                                              |=============================                                         |  42%  |                                                                              |==============================                                        |  43%  |                                                                              |===============================                                       |  44%  |                                                                              |================================                                      |  45%  |                                                                              |================================                                      |  46%  |                                                                              |=================================                                     |  47%  |                                                                              |==================================                                    |  48%  |                                                                              |==================================                                    |  49%  |                                                                              |===================================                                   |  50%  |                                                                              |====================================                                  |  51%  |                                                                              |====================================                                  |  52%  |                                                                              |=====================================                                 |  53%  |                                                                              |======================================                                |  54%  |                                                                              |======================================                                |  55%  |                                                                              |=======================================                               |  56%  |                                                                              |========================================                              |  57%  |                                                                              |=========================================                             |  58%  |                                                                              |=========================================                             |  59%  |                                                                              |==========================================                            |  60%  |                                                                              |===========================================                           |  61%  |                                                                              |===========================================                           |  62%  |                                                                              |============================================                          |  63%  |                                                                              |=============================================                         |  64%  |                                                                              |==============================================                        |  65%  |                                                                              |==============================================                        |  66%  |                                                                              |===============================================                       |  67%  |                                                                              |================================================                      |  68%  |                                                                              |================================================                      |  69%  |                                                                              |=================================================                     |  70%  |                                                                              |==================================================                    |  71%  |                                                                              |==================================================                    |  72%  |                                                                              |===================================================                   |  73%  |                                                                              |====================================================                  |  74%  |                                                                              |====================================================                  |  75%  |                                                                              |=====================================================                 |  76%  |                                                                              |======================================================                |  77%  |                                                                              |=======================================================               |  78%  |                                                                              |=======================================================               |  79%  |                                                                              |========================================================              |  80%  |                                                                              |=========================================================             |  81%  |                                                                              |=========================================================             |  82%  |                                                                              |==========================================================            |  83%  |                                                                              |===========================================================           |  84%  |                                                                              |============================================================          |  85%  |                                                                              |============================================================          |  86%  |                                                                              |=============================================================         |  87%  |                                                                              |==============================================================        |  88%  |                                                                              |==============================================================        |  89%  |                                                                              |===============================================================       |  90%  |                                                                              |================================================================      |  91%  |                                                                              |================================================================      |  92%  |                                                                              |=================================================================     |  93%  |                                                                              |==================================================================    |  94%  |                                                                              |==================================================================    |  95%  |                                                                              |===================================================================   |  96%  |                                                                              |====================================================================  |  97%  |                                                                              |===================================================================== |  98%  |                                                                              |===================================================================== |  99%  |                                                                              |======================================================================| 100%
#>   |                                                                              |                                                                      |   0%  |                                                                              |=                                                                     |   1%  |                                                                              |=                                                                     |   2%  |                                                                              |==                                                                    |   3%  |                                                                              |===                                                                   |   4%  |                                                                              |====                                                                  |   5%  |                                                                              |====                                                                  |   6%  |                                                                              |=====                                                                 |   7%  |                                                                              |======                                                                |   8%  |                                                                              |======                                                                |   9%  |                                                                              |=======                                                               |  10%  |                                                                              |========                                                              |  11%  |                                                                              |========                                                              |  12%  |                                                                              |=========                                                             |  13%  |                                                                              |==========                                                            |  14%  |                                                                              |==========                                                            |  15%  |                                                                              |===========                                                           |  16%  |                                                                              |============                                                          |  17%  |                                                                              |=============                                                         |  18%  |                                                                              |=============                                                         |  19%  |                                                                              |==============                                                        |  20%  |                                                                              |===============                                                       |  21%  |                                                                              |===============                                                       |  22%  |                                                                              |================                                                      |  23%  |                                                                              |=================                                                     |  24%  |                                                                              |==================                                                    |  25%  |                                                                              |==================                                                    |  26%  |                                                                              |===================                                                   |  27%  |                                                                              |====================                                                  |  28%  |                                                                              |====================                                                  |  29%  |                                                                              |=====================                                                 |  30%  |                                                                              |======================                                                |  31%  |                                                                              |======================                                                |  32%  |                                                                              |=======================                                               |  33%  |                                                                              |========================                                              |  34%  |                                                                              |========================                                              |  35%  |                                                                              |=========================                                             |  36%  |                                                                              |==========================                                            |  37%  |                                                                              |===========================                                           |  38%  |                                                                              |===========================                                           |  39%  |                                                                              |============================                                          |  40%  |                                                                              |=============================                                         |  41%  |                                                                              |=============================                                         |  42%  |                                                                              |==============================                                        |  43%  |                                                                              |===============================                                       |  44%  |                                                                              |================================                                      |  45%  |                                                                              |================================                                      |  46%  |                                                                              |=================================                                     |  47%  |                                                                              |==================================                                    |  48%  |                                                                              |==================================                                    |  49%  |                                                                              |===================================                                   |  50%  |                                                                              |====================================                                  |  51%  |                                                                              |====================================                                  |  52%  |                                                                              |=====================================                                 |  53%  |                                                                              |======================================                                |  54%  |                                                                              |======================================                                |  55%  |                                                                              |=======================================                               |  56%  |                                                                              |========================================                              |  57%  |                                                                              |=========================================                             |  58%  |                                                                              |=========================================                             |  59%  |                                                                              |==========================================                            |  60%  |                                                                              |===========================================                           |  61%  |                                                                              |===========================================                           |  62%  |                                                                              |============================================                          |  63%  |                                                                              |=============================================                         |  64%  |                                                                              |==============================================                        |  65%  |                                                                              |==============================================                        |  66%  |                                                                              |===============================================                       |  67%  |                                                                              |================================================                      |  68%  |                                                                              |================================================                      |  69%  |                                                                              |=================================================                     |  70%  |                                                                              |==================================================                    |  71%  |                                                                              |==================================================                    |  72%  |                                                                              |===================================================                   |  73%  |                                                                              |====================================================                  |  74%  |                                                                              |====================================================                  |  75%  |                                                                              |=====================================================                 |  76%  |                                                                              |======================================================                |  77%  |                                                                              |=======================================================               |  78%  |                                                                              |=======================================================               |  79%  |                                                                              |========================================================              |  80%  |                                                                              |=========================================================             |  81%  |                                                                              |=========================================================             |  82%  |                                                                              |==========================================================            |  83%  |                                                                              |===========================================================           |  84%  |                                                                              |============================================================          |  85%  |                                                                              |============================================================          |  86%  |                                                                              |=============================================================         |  87%  |                                                                              |==============================================================        |  88%  |                                                                              |==============================================================        |  89%  |                                                                              |===============================================================       |  90%  |                                                                              |================================================================      |  91%  |                                                                              |================================================================      |  92%  |                                                                              |=================================================================     |  93%  |                                                                              |==================================================================    |  94%  |                                                                              |==================================================================    |  95%  |                                                                              |===================================================================   |  96%  |                                                                              |====================================================================  |  97%  |                                                                              |===================================================================== |  98%  |                                                                              |===================================================================== |  99%  |                                                                              |======================================================================| 100%
#>   |                                                                              |                                                                      |   0%  |                                                                              |=                                                                     |   1%  |                                                                              |=                                                                     |   2%  |                                                                              |==                                                                    |   3%  |                                                                              |===                                                                   |   4%  |                                                                              |====                                                                  |   5%  |                                                                              |====                                                                  |   6%  |                                                                              |=====                                                                 |   7%  |                                                                              |======                                                                |   8%  |                                                                              |======                                                                |   9%  |                                                                              |=======                                                               |  10%  |                                                                              |========                                                              |  11%  |                                                                              |========                                                              |  12%  |                                                                              |=========                                                             |  13%  |                                                                              |==========                                                            |  14%  |                                                                              |==========                                                            |  15%  |                                                                              |===========                                                           |  16%  |                                                                              |============                                                          |  17%  |                                                                              |=============                                                         |  18%  |                                                                              |=============                                                         |  19%  |                                                                              |==============                                                        |  20%  |                                                                              |===============                                                       |  21%  |                                                                              |===============                                                       |  22%  |                                                                              |================                                                      |  23%  |                                                                              |=================                                                     |  24%  |                                                                              |==================                                                    |  25%  |                                                                              |==================                                                    |  26%  |                                                                              |===================                                                   |  27%  |                                                                              |====================                                                  |  28%  |                                                                              |====================                                                  |  29%  |                                                                              |=====================                                                 |  30%  |                                                                              |======================                                                |  31%  |                                                                              |======================                                                |  32%  |                                                                              |=======================                                               |  33%  |                                                                              |========================                                              |  34%  |                                                                              |========================                                              |  35%  |                                                                              |=========================                                             |  36%  |                                                                              |==========================                                            |  37%  |                                                                              |===========================                                           |  38%  |                                                                              |===========================                                           |  39%  |                                                                              |============================                                          |  40%  |                                                                              |=============================                                         |  41%  |                                                                              |=============================                                         |  42%  |                                                                              |==============================                                        |  43%  |                                                                              |===============================                                       |  44%  |                                                                              |================================                                      |  45%  |                                                                              |================================                                      |  46%  |                                                                              |=================================                                     |  47%  |                                                                              |==================================                                    |  48%  |                                                                              |==================================                                    |  49%  |                                                                              |===================================                                   |  50%  |                                                                              |====================================                                  |  51%  |                                                                              |====================================                                  |  52%  |                                                                              |=====================================                                 |  53%  |                                                                              |======================================                                |  54%  |                                                                              |======================================                                |  55%  |                                                                              |=======================================                               |  56%  |                                                                              |========================================                              |  57%  |                                                                              |=========================================                             |  58%  |                                                                              |=========================================                             |  59%  |                                                                              |==========================================                            |  60%  |                                                                              |===========================================                           |  61%  |                                                                              |===========================================                           |  62%  |                                                                              |============================================                          |  63%  |                                                                              |=============================================                         |  64%  |                                                                              |==============================================                        |  65%  |                                                                              |==============================================                        |  66%  |                                                                              |===============================================                       |  67%  |                                                                              |================================================                      |  68%  |                                                                              |================================================                      |  69%  |                                                                              |=================================================                     |  70%  |                                                                              |==================================================                    |  71%  |                                                                              |==================================================                    |  72%  |                                                                              |===================================================                   |  73%  |                                                                              |====================================================                  |  74%  |                                                                              |====================================================                  |  75%  |                                                                              |=====================================================                 |  76%  |                                                                              |======================================================                |  77%  |                                                                              |=======================================================               |  78%  |                                                                              |=======================================================               |  79%  |                                                                              |========================================================              |  80%  |                                                                              |=========================================================             |  81%  |                                                                              |=========================================================             |  82%  |                                                                              |==========================================================            |  83%  |                                                                              |===========================================================           |  84%  |                                                                              |============================================================          |  85%  |                                                                              |============================================================          |  86%  |                                                                              |=============================================================         |  87%  |                                                                              |==============================================================        |  88%  |                                                                              |==============================================================        |  89%  |                                                                              |===============================================================       |  90%  |                                                                              |================================================================      |  91%  |                                                                              |================================================================      |  92%  |                                                                              |=================================================================     |  93%  |                                                                              |==================================================================    |  94%  |                                                                              |==================================================================    |  95%  |                                                                              |===================================================================   |  96%  |                                                                              |====================================================================  |  97%  |                                                                              |===================================================================== |  98%  |                                                                              |===================================================================== |  99%  |                                                                              |======================================================================| 100%

#print the power results for each number of chambers per treatment
round(power.df,2)
#>   n.ch.per.trt power ci.lower ci.upper
#> 1            2  0.95     0.89     0.98
#> 2            4  1.00     0.96     1.00
#> 3            6  1.00     0.96     1.00
#> 4            8  1.00     0.96     1.00
  1. Plot the resulting power vs. number of chambers per treatment
# install.packages("ggplot2") if not yet installed
library(ggplot2)

ggplot(power.df, aes(x = n.ch.per.trt, y = power)) +
  geom_point(color = "black", size = 2) +
  geom_line(color = "black", linewidth = 0.4) +
  geom_errorbar(aes(ymin = ci.lower, ymax = ci.upper),
                width = 0.4, color = "black", linewidth = 0.4) +
  labs(
    x = "Number of chambers per treatment",
    y = "Estimated power",
    title = "Power vs. number of chambers per treatment with 95% CI"
  ) +
  scale_y_continuous(labels = scales::percent, limit=c(0,1), breaks=seq(0,1,0.2)) +
  geom_hline(yintercept=0.8, lty="twodash") +
  geom_hline(yintercept=0.05, lty="longdash") +  
  theme_bw()

  1. Now you can use the function to estimate power for varied number of chambers per treatment, e.g., 2,4,6,8 and varied effect size of an intervention. You can repeat this stage for all the power estimation functions in the package. Note that, this step is not necessary but we are showing it here to demonstrate the robustness of the package.
# Define parameter grids
n.ch.values <- c(2, 4, 6, 8)
effect.sizes <- c(0, 0.4, 0.5, 0.6, 0.8)

# Initialize results storage
results <- expand.grid(
  n.ch.per.trt = n.ch.values,
  intvn.effect = effect.sizes
)
results$power <- NA
results$ci.lower <- NA
results$ci.upper <- NA

# Loop over combinations
for (i in seq_len(nrow(results))) {
  row <- results[i, ]
  
  sim <- sim.power.shortsfe.sinint(
    n.ch.per.trt = row$n.ch.per.trt,
    lambda = 50,
    intvn.effect = row$intvn.effect,
    chamber.var = 0.1807,
    nsim = 100,
    TRUE
  )
  
  results$power[i] <- sim["power"]
  results$ci.lower[i] <- sim["ci.lower"]
  results$ci.upper[i] <- sim["ci.upper"]
}
#>   |                                                                              |                                                                      |   0%  |                                                                              |=                                                                     |   1%  |                                                                              |=                                                                     |   2%  |                                                                              |==                                                                    |   3%  |                                                                              |===                                                                   |   4%  |                                                                              |====                                                                  |   5%  |                                                                              |====                                                                  |   6%  |                                                                              |=====                                                                 |   7%  |                                                                              |======                                                                |   8%  |                                                                              |======                                                                |   9%  |                                                                              |=======                                                               |  10%  |                                                                              |========                                                              |  11%  |                                                                              |========                                                              |  12%  |                                                                              |=========                                                             |  13%  |                                                                              |==========                                                            |  14%  |                                                                              |==========                                                            |  15%  |                                                                              |===========                                                           |  16%  |                                                                              |============                                                          |  17%  |                                                                              |=============                                                         |  18%  |                                                                              |=============                                                         |  19%  |                                                                              |==============                                                        |  20%  |                                                                              |===============                                                       |  21%  |                                                                              |===============                                                       |  22%  |                                                                              |================                                                      |  23%  |                                                                              |=================                                                     |  24%  |                                                                              |==================                                                    |  25%  |                                                                              |==================                                                    |  26%  |                                                                              |===================                                                   |  27%  |                                                                              |====================                                                  |  28%  |                                                                              |====================                                                  |  29%  |                                                                              |=====================                                                 |  30%  |                                                                              |======================                                                |  31%  |                                                                              |======================                                                |  32%  |                                                                              |=======================                                               |  33%  |                                                                              |========================                                              |  34%  |                                                                              |========================                                              |  35%  |                                                                              |=========================                                             |  36%  |                                                                              |==========================                                            |  37%  |                                                                              |===========================                                           |  38%  |                                                                              |===========================                                           |  39%  |                                                                              |============================                                          |  40%  |                                                                              |=============================                                         |  41%  |                                                                              |=============================                                         |  42%  |                                                                              |==============================                                        |  43%  |                                                                              |===============================                                       |  44%  |                                                                              |================================                                      |  45%  |                                                                              |================================                                      |  46%  |                                                                              |=================================                                     |  47%  |                                                                              |==================================                                    |  48%  |                                                                              |==================================                                    |  49%  |                                                                              |===================================                                   |  50%  |                                                                              |====================================                                  |  51%  |                                                                              |====================================                                  |  52%  |                                                                              |=====================================                                 |  53%  |                                                                              |======================================                                |  54%  |                                                                              |======================================                                |  55%  |                                                                              |=======================================                               |  56%  |                                                                              |========================================                              |  57%  |                                                                              |=========================================                             |  58%  |                                                                              |=========================================                             |  59%  |                                                                              |==========================================                            |  60%  |                                                                              |===========================================                           |  61%  |                                                                              |===========================================                           |  62%  |                                                                              |============================================                          |  63%  |                                                                              |=============================================                         |  64%  |                                                                              |==============================================                        |  65%  |                                                                              |==============================================                        |  66%  |                                                                              |===============================================                       |  67%  |                                                                              |================================================                      |  68%  |                                                                              |================================================                      |  69%  |                                                                              |=================================================                     |  70%  |                                                                              |==================================================                    |  71%  |                                                                              |==================================================                    |  72%  |                                                                              |===================================================                   |  73%  |                                                                              |====================================================                  |  74%  |                                                                              |====================================================                  |  75%  |                                                                              |=====================================================                 |  76%  |                                                                              |======================================================                |  77%  |                                                                              |=======================================================               |  78%  |                                                                              |=======================================================               |  79%  |                                                                              |========================================================              |  80%  |                                                                              |=========================================================             |  81%  |                                                                              |=========================================================             |  82%  |                                                                              |==========================================================            |  83%  |                                                                              |===========================================================           |  84%  |                                                                              |============================================================          |  85%  |                                                                              |============================================================          |  86%  |                                                                              |=============================================================         |  87%  |                                                                              |==============================================================        |  88%  |                                                                              |==============================================================        |  89%  |                                                                              |===============================================================       |  90%  |                                                                              |================================================================      |  91%  |                                                                              |================================================================      |  92%  |                                                                              |=================================================================     |  93%  |                                                                              |==================================================================    |  94%  |                                                                              |==================================================================    |  95%  |                                                                              |===================================================================   |  96%  |                                                                              |====================================================================  |  97%  |                                                                              |===================================================================== |  98%  |                                                                              |===================================================================== |  99%  |                                                                              |======================================================================| 100%
#>   |                                                                              |                                                                      |   0%  |                                                                              |=                                                                     |   1%  |                                                                              |=                                                                     |   2%  |                                                                              |==                                                                    |   3%  |                                                                              |===                                                                   |   4%  |                                                                              |====                                                                  |   5%  |                                                                              |====                                                                  |   6%  |                                                                              |=====                                                                 |   7%  |                                                                              |======                                                                |   8%  |                                                                              |======                                                                |   9%  |                                                                              |=======                                                               |  10%  |                                                                              |========                                                              |  11%  |                                                                              |========                                                              |  12%  |                                                                              |=========                                                             |  13%  |                                                                              |==========                                                            |  14%  |                                                                              |==========                                                            |  15%  |                                                                              |===========                                                           |  16%  |                                                                              |============                                                          |  17%  |                                                                              |=============                                                         |  18%  |                                                                              |=============                                                         |  19%  |                                                                              |==============                                                        |  20%  |                                                                              |===============                                                       |  21%  |                                                                              |===============                                                       |  22%  |                                                                              |================                                                      |  23%  |                                                                              |=================                                                     |  24%  |                                                                              |==================                                                    |  25%  |                                                                              |==================                                                    |  26%  |                                                                              |===================                                                   |  27%  |                                                                              |====================                                                  |  28%  |                                                                              |====================                                                  |  29%  |                                                                              |=====================                                                 |  30%  |                                                                              |======================                                                |  31%  |                                                                              |======================                                                |  32%  |                                                                              |=======================                                               |  33%  |                                                                              |========================                                              |  34%  |                                                                              |========================                                              |  35%  |                                                                              |=========================                                             |  36%  |                                                                              |==========================                                            |  37%  |                                                                              |===========================                                           |  38%  |                                                                              |===========================                                           |  39%  |                                                                              |============================                                          |  40%  |                                                                              |=============================                                         |  41%  |                                                                              |=============================                                         |  42%  |                                                                              |==============================                                        |  43%  |                                                                              |===============================                                       |  44%  |                                                                              |================================                                      |  45%  |                                                                              |================================                                      |  46%  |                                                                              |=================================                                     |  47%  |                                                                              |==================================                                    |  48%  |                                                                              |==================================                                    |  49%  |                                                                              |===================================                                   |  50%  |                                                                              |====================================                                  |  51%  |                                                                              |====================================                                  |  52%  |                                                                              |=====================================                                 |  53%  |                                                                              |======================================                                |  54%  |                                                                              |======================================                                |  55%  |                                                                              |=======================================                               |  56%  |                                                                              |========================================                              |  57%  |                                                                              |=========================================                             |  58%  |                                                                              |=========================================                             |  59%  |                                                                              |==========================================                            |  60%  |                                                                              |===========================================                           |  61%  |                                                                              |===========================================                           |  62%  |                                                                              |============================================                          |  63%  |                                                                              |=============================================                         |  64%  |                                                                              |==============================================                        |  65%  |                                                                              |==============================================                        |  66%  |                                                                              |===============================================                       |  67%  |                                                                              |================================================                      |  68%  |                                                                              |================================================                      |  69%  |                                                                              |=================================================                     |  70%  |                                                                              |==================================================                    |  71%  |                                                                              |==================================================                    |  72%  |                                                                              |===================================================                   |  73%  |                                                                              |====================================================                  |  74%  |                                                                              |====================================================                  |  75%  |                                                                              |=====================================================                 |  76%  |                                                                              |======================================================                |  77%  |                                                                              |=======================================================               |  78%  |                                                                              |=======================================================               |  79%  |                                                                              |========================================================              |  80%  |                                                                              |=========================================================             |  81%  |                                                                              |=========================================================             |  82%  |                                                                              |==========================================================            |  83%  |                                                                              |===========================================================           |  84%  |                                                                              |============================================================          |  85%  |                                                                              |============================================================          |  86%  |                                                                              |=============================================================         |  87%  |                                                                              |==============================================================        |  88%  |                                                                              |==============================================================        |  89%  |                                                                              |===============================================================       |  90%  |                                                                              |================================================================      |  91%  |                                                                              |================================================================      |  92%  |                                                                              |=================================================================     |  93%  |                                                                              |==================================================================    |  94%  |                                                                              |==================================================================    |  95%  |                                                                              |===================================================================   |  96%  |                                                                              |====================================================================  |  97%  |                                                                              |===================================================================== |  98%  |                                                                              |===================================================================== |  99%  |                                                                              |======================================================================| 100%
#>   |                                                                              |                                                                      |   0%  |                                                                              |=                                                                     |   1%  |                                                                              |=                                                                     |   2%  |                                                                              |==                                                                    |   3%  |                                                                              |===                                                                   |   4%  |                                                                              |====                                                                  |   5%  |                                                                              |====                                                                  |   6%  |                                                                              |=====                                                                 |   7%  |                                                                              |======                                                                |   8%  |                                                                              |======                                                                |   9%  |                                                                              |=======                                                               |  10%  |                                                                              |========                                                              |  11%  |                                                                              |========                                                              |  12%  |                                                                              |=========                                                             |  13%  |                                                                              |==========                                                            |  14%  |                                                                              |==========                                                            |  15%  |                                                                              |===========                                                           |  16%  |                                                                              |============                                                          |  17%  |                                                                              |=============                                                         |  18%  |                                                                              |=============                                                         |  19%  |                                                                              |==============                                                        |  20%  |                                                                              |===============                                                       |  21%  |                                                                              |===============                                                       |  22%  |                                                                              |================                                                      |  23%  |                                                                              |=================                                                     |  24%  |                                                                              |==================                                                    |  25%  |                                                                              |==================                                                    |  26%  |                                                                              |===================                                                   |  27%  |                                                                              |====================                                                  |  28%  |                                                                              |====================                                                  |  29%  |                                                                              |=====================                                                 |  30%  |                                                                              |======================                                                |  31%  |                                                                              |======================                                                |  32%  |                                                                              |=======================                                               |  33%  |                                                                              |========================                                              |  34%  |                                                                              |========================                                              |  35%  |                                                                              |=========================                                             |  36%  |                                                                              |==========================                                            |  37%  |                                                                              |===========================                                           |  38%  |                                                                              |===========================                                           |  39%  |                                                                              |============================                                          |  40%  |                                                                              |=============================                                         |  41%  |                                                                              |=============================                                         |  42%  |                                                                              |==============================                                        |  43%  |                                                                              |===============================                                       |  44%  |                                                                              |================================                                      |  45%  |                                                                              |================================                                      |  46%  |                                                                              |=================================                                     |  47%  |                                                                              |==================================                                    |  48%  |                                                                              |==================================                                    |  49%  |                                                                              |===================================                                   |  50%  |                                                                              |====================================                                  |  51%  |                                                                              |====================================                                  |  52%  |                                                                              |=====================================                                 |  53%  |                                                                              |======================================                                |  54%  |                                                                              |======================================                                |  55%  |                                                                              |=======================================                               |  56%  |                                                                              |========================================                              |  57%  |                                                                              |=========================================                             |  58%  |                                                                              |=========================================                             |  59%  |                                                                              |==========================================                            |  60%  |                                                                              |===========================================                           |  61%  |                                                                              |===========================================                           |  62%  |                                                                              |============================================                          |  63%  |                                                                              |=============================================                         |  64%  |                                                                              |==============================================                        |  65%  |                                                                              |==============================================                        |  66%  |                                                                              |===============================================                       |  67%  |                                                                              |================================================                      |  68%  |                                                                              |================================================                      |  69%  |                                                                              |=================================================                     |  70%  |                                                                              |==================================================                    |  71%  |                                                                              |==================================================                    |  72%  |                                                                              |===================================================                   |  73%  |                                                                              |====================================================                  |  74%  |                                                                              |====================================================                  |  75%  |                                                                              |=====================================================                 |  76%  |                                                                              |======================================================                |  77%  |                                                                              |=======================================================               |  78%  |                                                                              |=======================================================               |  79%  |                                                                              |========================================================              |  80%  |                                                                              |=========================================================             |  81%  |                                                                              |=========================================================             |  82%  |                                                                              |==========================================================            |  83%  |                                                                              |===========================================================           |  84%  |                                                                              |============================================================          |  85%  |                                                                              |============================================================          |  86%  |                                                                              |=============================================================         |  87%  |                                                                              |==============================================================        |  88%  |                                                                              |==============================================================        |  89%  |                                                                              |===============================================================       |  90%  |                                                                              |================================================================      |  91%  |                                                                              |================================================================      |  92%  |                                                                              |=================================================================     |  93%  |                                                                              |==================================================================    |  94%  |                                                                              |==================================================================    |  95%  |                                                                              |===================================================================   |  96%  |                                                                              |====================================================================  |  97%  |                                                                              |===================================================================== |  98%  |                                                                              |===================================================================== |  99%  |                                                                              |======================================================================| 100%
#>   |                                                                              |                                                                      |   0%  |                                                                              |=                                                                     |   1%  |                                                                              |=                                                                     |   2%  |                                                                              |==                                                                    |   3%  |                                                                              |===                                                                   |   4%  |                                                                              |====                                                                  |   5%  |                                                                              |====                                                                  |   6%  |                                                                              |=====                                                                 |   7%  |                                                                              |======                                                                |   8%  |                                                                              |======                                                                |   9%  |                                                                              |=======                                                               |  10%  |                                                                              |========                                                              |  11%  |                                                                              |========                                                              |  12%  |                                                                              |=========                                                             |  13%  |                                                                              |==========                                                            |  14%  |                                                                              |==========                                                            |  15%  |                                                                              |===========                                                           |  16%  |                                                                              |============                                                          |  17%  |                                                                              |=============                                                         |  18%  |                                                                              |=============                                                         |  19%  |                                                                              |==============                                                        |  20%  |                                                                              |===============                                                       |  21%  |                                                                              |===============                                                       |  22%  |                                                                              |================                                                      |  23%  |                                                                              |=================                                                     |  24%  |                                                                              |==================                                                    |  25%  |                                                                              |==================                                                    |  26%  |                                                                              |===================                                                   |  27%  |                                                                              |====================                                                  |  28%  |                                                                              |====================                                                  |  29%  |                                                                              |=====================                                                 |  30%  |                                                                              |======================                                                |  31%  |                                                                              |======================                                                |  32%  |                                                                              |=======================                                               |  33%  |                                                                              |========================                                              |  34%  |                                                                              |========================                                              |  35%  |                                                                              |=========================                                             |  36%  |                                                                              |==========================                                            |  37%  |                                                                              |===========================                                           |  38%  |                                                                              |===========================                                           |  39%  |                                                                              |============================                                          |  40%  |                                                                              |=============================                                         |  41%  |                                                                              |=============================                                         |  42%  |                                                                              |==============================                                        |  43%  |                                                                              |===============================                                       |  44%  |                                                                              |================================                                      |  45%  |                                                                              |================================                                      |  46%  |                                                                              |=================================                                     |  47%  |                                                                              |==================================                                    |  48%  |                                                                              |==================================                                    |  49%  |                                                                              |===================================                                   |  50%  |                                                                              |====================================                                  |  51%  |                                                                              |====================================                                  |  52%  |                                                                              |=====================================                                 |  53%  |                                                                              |======================================                                |  54%  |                                                                              |======================================                                |  55%  |                                                                              |=======================================                               |  56%  |                                                                              |========================================                              |  57%  |                                                                              |=========================================                             |  58%  |                                                                              |=========================================                             |  59%  |                                                                              |==========================================                            |  60%  |                                                                              |===========================================                           |  61%  |                                                                              |===========================================                           |  62%  |                                                                              |============================================                          |  63%  |                                                                              |=============================================                         |  64%  |                                                                              |==============================================                        |  65%  |                                                                              |==============================================                        |  66%  |                                                                              |===============================================                       |  67%  |                                                                              |================================================                      |  68%  |                                                                              |================================================                      |  69%  |                                                                              |=================================================                     |  70%  |                                                                              |==================================================                    |  71%  |                                                                              |==================================================                    |  72%  |                                                                              |===================================================                   |  73%  |                                                                              |====================================================                  |  74%  |                                                                              |====================================================                  |  75%  |                                                                              |=====================================================                 |  76%  |                                                                              |======================================================                |  77%  |                                                                              |=======================================================               |  78%  |                                                                              |=======================================================               |  79%  |                                                                              |========================================================              |  80%  |                                                                              |=========================================================             |  81%  |                                                                              |=========================================================             |  82%  |                                                                              |==========================================================            |  83%  |                                                                              |===========================================================           |  84%  |                                                                              |============================================================          |  85%  |                                                                              |============================================================          |  86%  |                                                                              |=============================================================         |  87%  |                                                                              |==============================================================        |  88%  |                                                                              |==============================================================        |  89%  |                                                                              |===============================================================       |  90%  |                                                                              |================================================================      |  91%  |                                                                              |================================================================      |  92%  |                                                                              |=================================================================     |  93%  |                                                                              |==================================================================    |  94%  |                                                                              |==================================================================    |  95%  |                                                                              |===================================================================   |  96%  |                                                                              |====================================================================  |  97%  |                                                                              |===================================================================== |  98%  |                                                                              |===================================================================== |  99%  |                                                                              |======================================================================| 100%
#>   |                                                                              |                                                                      |   0%  |                                                                              |=                                                                     |   1%  |                                                                              |=                                                                     |   2%  |                                                                              |==                                                                    |   3%  |                                                                              |===                                                                   |   4%  |                                                                              |====                                                                  |   5%  |                                                                              |====                                                                  |   6%  |                                                                              |=====                                                                 |   7%  |                                                                              |======                                                                |   8%  |                                                                              |======                                                                |   9%  |                                                                              |=======                                                               |  10%  |                                                                              |========                                                              |  11%  |                                                                              |========                                                              |  12%  |                                                                              |=========                                                             |  13%  |                                                                              |==========                                                            |  14%  |                                                                              |==========                                                            |  15%  |                                                                              |===========                                                           |  16%  |                                                                              |============                                                          |  17%  |                                                                              |=============                                                         |  18%  |                                                                              |=============                                                         |  19%  |                                                                              |==============                                                        |  20%  |                                                                              |===============                                                       |  21%  |                                                                              |===============                                                       |  22%  |                                                                              |================                                                      |  23%  |                                                                              |=================                                                     |  24%  |                                                                              |==================                                                    |  25%  |                                                                              |==================                                                    |  26%  |                                                                              |===================                                                   |  27%  |                                                                              |====================                                                  |  28%  |                                                                              |====================                                                  |  29%  |                                                                              |=====================                                                 |  30%  |                                                                              |======================                                                |  31%  |                                                                              |======================                                                |  32%  |                                                                              |=======================                                               |  33%  |                                                                              |========================                                              |  34%  |                                                                              |========================                                              |  35%  |                                                                              |=========================                                             |  36%  |                                                                              |==========================                                            |  37%  |                                                                              |===========================                                           |  38%  |                                                                              |===========================                                           |  39%  |                                                                              |============================                                          |  40%  |                                                                              |=============================                                         |  41%  |                                                                              |=============================                                         |  42%  |                                                                              |==============================                                        |  43%  |                                                                              |===============================                                       |  44%  |                                                                              |================================                                      |  45%  |                                                                              |================================                                      |  46%  |                                                                              |=================================                                     |  47%  |                                                                              |==================================                                    |  48%  |                                                                              |==================================                                    |  49%  |                                                                              |===================================                                   |  50%  |                                                                              |====================================                                  |  51%  |                                                                              |====================================                                  |  52%  |                                                                              |=====================================                                 |  53%  |                                                                              |======================================                                |  54%  |                                                                              |======================================                                |  55%  |                                                                              |=======================================                               |  56%  |                                                                              |========================================                              |  57%  |                                                                              |=========================================                             |  58%  |                                                                              |=========================================                             |  59%  |                                                                              |==========================================                            |  60%  |                                                                              |===========================================                           |  61%  |                                                                              |===========================================                           |  62%  |                                                                              |============================================                          |  63%  |                                                                              |=============================================                         |  64%  |                                                                              |==============================================                        |  65%  |                                                                              |==============================================                        |  66%  |                                                                              |===============================================                       |  67%  |                                                                              |================================================                      |  68%  |                                                                              |================================================                      |  69%  |                                                                              |=================================================                     |  70%  |                                                                              |==================================================                    |  71%  |                                                                              |==================================================                    |  72%  |                                                                              |===================================================                   |  73%  |                                                                              |====================================================                  |  74%  |                                                                              |====================================================                  |  75%  |                                                                              |=====================================================                 |  76%  |                                                                              |======================================================                |  77%  |                                                                              |=======================================================               |  78%  |                                                                              |=======================================================               |  79%  |                                                                              |========================================================              |  80%  |                                                                              |=========================================================             |  81%  |                                                                              |=========================================================             |  82%  |                                                                              |==========================================================            |  83%  |                                                                              |===========================================================           |  84%  |                                                                              |============================================================          |  85%  |                                                                              |============================================================          |  86%  |                                                                              |=============================================================         |  87%  |                                                                              |==============================================================        |  88%  |                                                                              |==============================================================        |  89%  |                                                                              |===============================================================       |  90%  |                                                                              |================================================================      |  91%  |                                                                              |================================================================      |  92%  |                                                                              |=================================================================     |  93%  |                                                                              |==================================================================    |  94%  |                                                                              |==================================================================    |  95%  |                                                                              |===================================================================   |  96%  |                                                                              |====================================================================  |  97%  |                                                                              |===================================================================== |  98%  |                                                                              |===================================================================== |  99%  |                                                                              |======================================================================| 100%
#>   |                                                                              |                                                                      |   0%  |                                                                              |=                                                                     |   1%  |                                                                              |=                                                                     |   2%  |                                                                              |==                                                                    |   3%  |                                                                              |===                                                                   |   4%  |                                                                              |====                                                                  |   5%  |                                                                              |====                                                                  |   6%  |                                                                              |=====                                                                 |   7%  |                                                                              |======                                                                |   8%  |                                                                              |======                                                                |   9%  |                                                                              |=======                                                               |  10%  |                                                                              |========                                                              |  11%  |                                                                              |========                                                              |  12%  |                                                                              |=========                                                             |  13%  |                                                                              |==========                                                            |  14%  |                                                                              |==========                                                            |  15%  |                                                                              |===========                                                           |  16%  |                                                                              |============                                                          |  17%  |                                                                              |=============                                                         |  18%  |                                                                              |=============                                                         |  19%  |                                                                              |==============                                                        |  20%  |                                                                              |===============                                                       |  21%  |                                                                              |===============                                                       |  22%  |                                                                              |================                                                      |  23%  |                                                                              |=================                                                     |  24%  |                                                                              |==================                                                    |  25%  |                                                                              |==================                                                    |  26%  |                                                                              |===================                                                   |  27%  |                                                                              |====================                                                  |  28%  |                                                                              |====================                                                  |  29%  |                                                                              |=====================                                                 |  30%  |                                                                              |======================                                                |  31%  |                                                                              |======================                                                |  32%  |                                                                              |=======================                                               |  33%  |                                                                              |========================                                              |  34%  |                                                                              |========================                                              |  35%  |                                                                              |=========================                                             |  36%  |                                                                              |==========================                                            |  37%  |                                                                              |===========================                                           |  38%  |                                                                              |===========================                                           |  39%  |                                                                              |============================                                          |  40%  |                                                                              |=============================                                         |  41%  |                                                                              |=============================                                         |  42%  |                                                                              |==============================                                        |  43%  |                                                                              |===============================                                       |  44%  |                                                                              |================================                                      |  45%  |                                                                              |================================                                      |  46%  |                                                                              |=================================                                     |  47%  |                                                                              |==================================                                    |  48%  |                                                                              |==================================                                    |  49%  |                                                                              |===================================                                   |  50%  |                                                                              |====================================                                  |  51%  |                                                                              |====================================                                  |  52%  |                                                                              |=====================================                                 |  53%  |                                                                              |======================================                                |  54%  |                                                                              |======================================                                |  55%  |                                                                              |=======================================                               |  56%  |                                                                              |========================================                              |  57%  |                                                                              |=========================================                             |  58%  |                                                                              |=========================================                             |  59%  |                                                                              |==========================================                            |  60%  |                                                                              |===========================================                           |  61%  |                                                                              |===========================================                           |  62%  |                                                                              |============================================                          |  63%  |                                                                              |=============================================                         |  64%  |                                                                              |==============================================                        |  65%  |                                                                              |==============================================                        |  66%  |                                                                              |===============================================                       |  67%  |                                                                              |================================================                      |  68%  |                                                                              |================================================                      |  69%  |                                                                              |=================================================                     |  70%  |                                                                              |==================================================                    |  71%  |                                                                              |==================================================                    |  72%  |                                                                              |===================================================                   |  73%  |                                                                              |====================================================                  |  74%  |                                                                              |====================================================                  |  75%  |                                                                              |=====================================================                 |  76%  |                                                                              |======================================================                |  77%  |                                                                              |=======================================================               |  78%  |                                                                              |=======================================================               |  79%  |                                                                              |========================================================              |  80%  |                                                                              |=========================================================             |  81%  |                                                                              |=========================================================             |  82%  |                                                                              |==========================================================            |  83%  |                                                                              |===========================================================           |  84%  |                                                                              |============================================================          |  85%  |                                                                              |============================================================          |  86%  |                                                                              |=============================================================         |  87%  |                                                                              |==============================================================        |  88%  |                                                                              |==============================================================        |  89%  |                                                                              |===============================================================       |  90%  |                                                                              |================================================================      |  91%  |                                                                              |================================================================      |  92%  |                                                                              |=================================================================     |  93%  |                                                                              |==================================================================    |  94%  |                                                                              |==================================================================    |  95%  |                                                                              |===================================================================   |  96%  |                                                                              |====================================================================  |  97%  |                                                                              |===================================================================== |  98%  |                                                                              |===================================================================== |  99%  |                                                                              |======================================================================| 100%
#>   |                                                                              |                                                                      |   0%  |                                                                              |=                                                                     |   1%  |                                                                              |=                                                                     |   2%  |                                                                              |==                                                                    |   3%  |                                                                              |===                                                                   |   4%  |                                                                              |====                                                                  |   5%  |                                                                              |====                                                                  |   6%  |                                                                              |=====                                                                 |   7%  |                                                                              |======                                                                |   8%  |                                                                              |======                                                                |   9%  |                                                                              |=======                                                               |  10%  |                                                                              |========                                                              |  11%  |                                                                              |========                                                              |  12%  |                                                                              |=========                                                             |  13%  |                                                                              |==========                                                            |  14%  |                                                                              |==========                                                            |  15%  |                                                                              |===========                                                           |  16%  |                                                                              |============                                                          |  17%  |                                                                              |=============                                                         |  18%  |                                                                              |=============                                                         |  19%  |                                                                              |==============                                                        |  20%  |                                                                              |===============                                                       |  21%  |                                                                              |===============                                                       |  22%  |                                                                              |================                                                      |  23%  |                                                                              |=================                                                     |  24%  |                                                                              |==================                                                    |  25%  |                                                                              |==================                                                    |  26%  |                                                                              |===================                                                   |  27%  |                                                                              |====================                                                  |  28%  |                                                                              |====================                                                  |  29%  |                                                                              |=====================                                                 |  30%  |                                                                              |======================                                                |  31%  |                                                                              |======================                                                |  32%  |                                                                              |=======================                                               |  33%  |                                                                              |========================                                              |  34%  |                                                                              |========================                                              |  35%  |                                                                              |=========================                                             |  36%  |                                                                              |==========================                                            |  37%  |                                                                              |===========================                                           |  38%  |                                                                              |===========================                                           |  39%  |                                                                              |============================                                          |  40%  |                                                                              |=============================                                         |  41%  |                                                                              |=============================                                         |  42%  |                                                                              |==============================                                        |  43%  |                                                                              |===============================                                       |  44%  |                                                                              |================================                                      |  45%  |                                                                              |================================                                      |  46%  |                                                                              |=================================                                     |  47%  |                                                                              |==================================                                    |  48%  |                                                                              |==================================                                    |  49%  |                                                                              |===================================                                   |  50%  |                                                                              |====================================                                  |  51%  |                                                                              |====================================                                  |  52%  |                                                                              |=====================================                                 |  53%  |                                                                              |======================================                                |  54%  |                                                                              |======================================                                |  55%  |                                                                              |=======================================                               |  56%  |                                                                              |========================================                              |  57%  |                                                                              |=========================================                             |  58%  |                                                                              |=========================================                             |  59%  |                                                                              |==========================================                            |  60%  |                                                                              |===========================================                           |  61%  |                                                                              |===========================================                           |  62%  |                                                                              |============================================                          |  63%  |                                                                              |=============================================                         |  64%  |                                                                              |==============================================                        |  65%  |                                                                              |==============================================                        |  66%  |                                                                              |===============================================                       |  67%  |                                                                              |================================================                      |  68%  |                                                                              |================================================                      |  69%  |                                                                              |=================================================                     |  70%  |                                                                              |==================================================                    |  71%  |                                                                              |==================================================                    |  72%  |                                                                              |===================================================                   |  73%  |                                                                              |====================================================                  |  74%  |                                                                              |====================================================                  |  75%  |                                                                              |=====================================================                 |  76%  |                                                                              |======================================================                |  77%  |                                                                              |=======================================================               |  78%  |                                                                              |=======================================================               |  79%  |                                                                              |========================================================              |  80%  |                                                                              |=========================================================             |  81%  |                                                                              |=========================================================             |  82%  |                                                                              |==========================================================            |  83%  |                                                                              |===========================================================           |  84%  |                                                                              |============================================================          |  85%  |                                                                              |============================================================          |  86%  |                                                                              |=============================================================         |  87%  |                                                                              |==============================================================        |  88%  |                                                                              |==============================================================        |  89%  |                                                                              |===============================================================       |  90%  |                                                                              |================================================================      |  91%  |                                                                              |================================================================      |  92%  |                                                                              |=================================================================     |  93%  |                                                                              |==================================================================    |  94%  |                                                                              |==================================================================    |  95%  |                                                                              |===================================================================   |  96%  |                                                                              |====================================================================  |  97%  |                                                                              |===================================================================== |  98%  |                                                                              |===================================================================== |  99%  |                                                                              |======================================================================| 100%
#>   |                                                                              |                                                                      |   0%  |                                                                              |=                                                                     |   1%  |                                                                              |=                                                                     |   2%  |                                                                              |==                                                                    |   3%  |                                                                              |===                                                                   |   4%  |                                                                              |====                                                                  |   5%  |                                                                              |====                                                                  |   6%  |                                                                              |=====                                                                 |   7%  |                                                                              |======                                                                |   8%  |                                                                              |======                                                                |   9%  |                                                                              |=======                                                               |  10%  |                                                                              |========                                                              |  11%  |                                                                              |========                                                              |  12%  |                                                                              |=========                                                             |  13%  |                                                                              |==========                                                            |  14%  |                                                                              |==========                                                            |  15%  |                                                                              |===========                                                           |  16%  |                                                                              |============                                                          |  17%  |                                                                              |=============                                                         |  18%  |                                                                              |=============                                                         |  19%  |                                                                              |==============                                                        |  20%  |                                                                              |===============                                                       |  21%  |                                                                              |===============                                                       |  22%  |                                                                              |================                                                      |  23%  |                                                                              |=================                                                     |  24%  |                                                                              |==================                                                    |  25%  |                                                                              |==================                                                    |  26%  |                                                                              |===================                                                   |  27%  |                                                                              |====================                                                  |  28%  |                                                                              |====================                                                  |  29%  |                                                                              |=====================                                                 |  30%  |                                                                              |======================                                                |  31%  |                                                                              |======================                                                |  32%  |                                                                              |=======================                                               |  33%  |                                                                              |========================                                              |  34%  |                                                                              |========================                                              |  35%  |                                                                              |=========================                                             |  36%  |                                                                              |==========================                                            |  37%  |                                                                              |===========================                                           |  38%  |                                                                              |===========================                                           |  39%  |                                                                              |============================                                          |  40%  |                                                                              |=============================                                         |  41%  |                                                                              |=============================                                         |  42%  |                                                                              |==============================                                        |  43%  |                                                                              |===============================                                       |  44%  |                                                                              |================================                                      |  45%  |                                                                              |================================                                      |  46%  |                                                                              |=================================                                     |  47%  |                                                                              |==================================                                    |  48%  |                                                                              |==================================                                    |  49%  |                                                                              |===================================                                   |  50%  |                                                                              |====================================                                  |  51%  |                                                                              |====================================                                  |  52%  |                                                                              |=====================================                                 |  53%  |                                                                              |======================================                                |  54%  |                                                                              |======================================                                |  55%  |                                                                              |=======================================                               |  56%  |                                                                              |========================================                              |  57%  |                                                                              |=========================================                             |  58%  |                                                                              |=========================================                             |  59%  |                                                                              |==========================================                            |  60%  |                                                                              |===========================================                           |  61%  |                                                                              |===========================================                           |  62%  |                                                                              |============================================                          |  63%  |                                                                              |=============================================                         |  64%  |                                                                              |==============================================                        |  65%  |                                                                              |==============================================                        |  66%  |                                                                              |===============================================                       |  67%  |                                                                              |================================================                      |  68%  |                                                                              |================================================                      |  69%  |                                                                              |=================================================                     |  70%  |                                                                              |==================================================                    |  71%  |                                                                              |==================================================                    |  72%  |                                                                              |===================================================                   |  73%  |                                                                              |====================================================                  |  74%  |                                                                              |====================================================                  |  75%  |                                                                              |=====================================================                 |  76%  |                                                                              |======================================================                |  77%  |                                                                              |=======================================================               |  78%  |                                                                              |=======================================================               |  79%  |                                                                              |========================================================              |  80%  |                                                                              |=========================================================             |  81%  |                                                                              |=========================================================             |  82%  |                                                                              |==========================================================            |  83%  |                                                                              |===========================================================           |  84%  |                                                                              |============================================================          |  85%  |                                                                              |============================================================          |  86%  |                                                                              |=============================================================         |  87%  |                                                                              |==============================================================        |  88%  |                                                                              |==============================================================        |  89%  |                                                                              |===============================================================       |  90%  |                                                                              |================================================================      |  91%  |                                                                              |================================================================      |  92%  |                                                                              |=================================================================     |  93%  |                                                                              |==================================================================    |  94%  |                                                                              |==================================================================    |  95%  |                                                                              |===================================================================   |  96%  |                                                                              |====================================================================  |  97%  |                                                                              |===================================================================== |  98%  |                                                                              |===================================================================== |  99%  |                                                                              |======================================================================| 100%
#>   |                                                                              |                                                                      |   0%  |                                                                              |=                                                                     |   1%  |                                                                              |=                                                                     |   2%  |                                                                              |==                                                                    |   3%  |                                                                              |===                                                                   |   4%  |                                                                              |====                                                                  |   5%  |                                                                              |====                                                                  |   6%  |                                                                              |=====                                                                 |   7%  |                                                                              |======                                                                |   8%  |                                                                              |======                                                                |   9%  |                                                                              |=======                                                               |  10%  |                                                                              |========                                                              |  11%  |                                                                              |========                                                              |  12%  |                                                                              |=========                                                             |  13%  |                                                                              |==========                                                            |  14%  |                                                                              |==========                                                            |  15%  |                                                                              |===========                                                           |  16%  |                                                                              |============                                                          |  17%  |                                                                              |=============                                                         |  18%  |                                                                              |=============                                                         |  19%  |                                                                              |==============                                                        |  20%  |                                                                              |===============                                                       |  21%  |                                                                              |===============                                                       |  22%  |                                                                              |================                                                      |  23%  |                                                                              |=================                                                     |  24%  |                                                                              |==================                                                    |  25%  |                                                                              |==================                                                    |  26%  |                                                                              |===================                                                   |  27%  |                                                                              |====================                                                  |  28%  |                                                                              |====================                                                  |  29%  |                                                                              |=====================                                                 |  30%  |                                                                              |======================                                                |  31%  |                                                                              |======================                                                |  32%  |                                                                              |=======================                                               |  33%  |                                                                              |========================                                              |  34%  |                                                                              |========================                                              |  35%  |                                                                              |=========================                                             |  36%  |                                                                              |==========================                                            |  37%  |                                                                              |===========================                                           |  38%  |                                                                              |===========================                                           |  39%  |                                                                              |============================                                          |  40%  |                                                                              |=============================                                         |  41%  |                                                                              |=============================                                         |  42%  |                                                                              |==============================                                        |  43%  |                                                                              |===============================                                       |  44%  |                                                                              |================================                                      |  45%  |                                                                              |================================                                      |  46%  |                                                                              |=================================                                     |  47%  |                                                                              |==================================                                    |  48%  |                                                                              |==================================                                    |  49%  |                                                                              |===================================                                   |  50%  |                                                                              |====================================                                  |  51%  |                                                                              |====================================                                  |  52%  |                                                                              |=====================================                                 |  53%  |                                                                              |======================================                                |  54%  |                                                                              |======================================                                |  55%  |                                                                              |=======================================                               |  56%  |                                                                              |========================================                              |  57%  |                                                                              |=========================================                             |  58%  |                                                                              |=========================================                             |  59%  |                                                                              |==========================================                            |  60%  |                                                                              |===========================================                           |  61%  |                                                                              |===========================================                           |  62%  |                                                                              |============================================                          |  63%  |                                                                              |=============================================                         |  64%  |                                                                              |==============================================                        |  65%  |                                                                              |==============================================                        |  66%  |                                                                              |===============================================                       |  67%  |                                                                              |================================================                      |  68%  |                                                                              |================================================                      |  69%  |                                                                              |=================================================                     |  70%  |                                                                              |==================================================                    |  71%  |                                                                              |==================================================                    |  72%  |                                                                              |===================================================                   |  73%  |                                                                              |====================================================                  |  74%  |                                                                              |====================================================                  |  75%  |                                                                              |=====================================================                 |  76%  |                                                                              |======================================================                |  77%  |                                                                              |=======================================================               |  78%  |                                                                              |=======================================================               |  79%  |                                                                              |========================================================              |  80%  |                                                                              |=========================================================             |  81%  |                                                                              |=========================================================             |  82%  |                                                                              |==========================================================            |  83%  |                                                                              |===========================================================           |  84%  |                                                                              |============================================================          |  85%  |                                                                              |============================================================          |  86%  |                                                                              |=============================================================         |  87%  |                                                                              |==============================================================        |  88%  |                                                                              |==============================================================        |  89%  |                                                                              |===============================================================       |  90%  |                                                                              |================================================================      |  91%  |                                                                              |================================================================      |  92%  |                                                                              |=================================================================     |  93%  |                                                                              |==================================================================    |  94%  |                                                                              |==================================================================    |  95%  |                                                                              |===================================================================   |  96%  |                                                                              |====================================================================  |  97%  |                                                                              |===================================================================== |  98%  |                                                                              |===================================================================== |  99%  |                                                                              |======================================================================| 100%
#>   |                                                                              |                                                                      |   0%  |                                                                              |=                                                                     |   1%  |                                                                              |=                                                                     |   2%  |                                                                              |==                                                                    |   3%  |                                                                              |===                                                                   |   4%  |                                                                              |====                                                                  |   5%  |                                                                              |====                                                                  |   6%  |                                                                              |=====                                                                 |   7%  |                                                                              |======                                                                |   8%  |                                                                              |======                                                                |   9%  |                                                                              |=======                                                               |  10%  |                                                                              |========                                                              |  11%  |                                                                              |========                                                              |  12%  |                                                                              |=========                                                             |  13%  |                                                                              |==========                                                            |  14%  |                                                                              |==========                                                            |  15%  |                                                                              |===========                                                           |  16%  |                                                                              |============                                                          |  17%  |                                                                              |=============                                                         |  18%  |                                                                              |=============                                                         |  19%  |                                                                              |==============                                                        |  20%  |                                                                              |===============                                                       |  21%  |                                                                              |===============                                                       |  22%  |                                                                              |================                                                      |  23%  |                                                                              |=================                                                     |  24%  |                                                                              |==================                                                    |  25%  |                                                                              |==================                                                    |  26%  |                                                                              |===================                                                   |  27%  |                                                                              |====================                                                  |  28%  |                                                                              |====================                                                  |  29%  |                                                                              |=====================                                                 |  30%  |                                                                              |======================                                                |  31%  |                                                                              |======================                                                |  32%  |                                                                              |=======================                                               |  33%  |                                                                              |========================                                              |  34%  |                                                                              |========================                                              |  35%  |                                                                              |=========================                                             |  36%  |                                                                              |==========================                                            |  37%  |                                                                              |===========================                                           |  38%  |                                                                              |===========================                                           |  39%  |                                                                              |============================                                          |  40%  |                                                                              |=============================                                         |  41%  |                                                                              |=============================                                         |  42%  |                                                                              |==============================                                        |  43%  |                                                                              |===============================                                       |  44%  |                                                                              |================================                                      |  45%  |                                                                              |================================                                      |  46%  |                                                                              |=================================                                     |  47%  |                                                                              |==================================                                    |  48%  |                                                                              |==================================                                    |  49%  |                                                                              |===================================                                   |  50%  |                                                                              |====================================                                  |  51%  |                                                                              |====================================                                  |  52%  |                                                                              |=====================================                                 |  53%  |                                                                              |======================================                                |  54%  |                                                                              |======================================                                |  55%  |                                                                              |=======================================                               |  56%  |                                                                              |========================================                              |  57%  |                                                                              |=========================================                             |  58%  |                                                                              |=========================================                             |  59%  |                                                                              |==========================================                            |  60%  |                                                                              |===========================================                           |  61%  |                                                                              |===========================================                           |  62%  |                                                                              |============================================                          |  63%  |                                                                              |=============================================                         |  64%  |                                                                              |==============================================                        |  65%  |                                                                              |==============================================                        |  66%  |                                                                              |===============================================                       |  67%  |                                                                              |================================================                      |  68%  |                                                                              |================================================                      |  69%  |                                                                              |=================================================                     |  70%  |                                                                              |==================================================                    |  71%  |                                                                              |==================================================                    |  72%  |                                                                              |===================================================                   |  73%  |                                                                              |====================================================                  |  74%  |                                                                              |====================================================                  |  75%  |                                                                              |=====================================================                 |  76%  |                                                                              |======================================================                |  77%  |                                                                              |=======================================================               |  78%  |                                                                              |=======================================================               |  79%  |                                                                              |========================================================              |  80%  |                                                                              |=========================================================             |  81%  |                                                                              |=========================================================             |  82%  |                                                                              |==========================================================            |  83%  |                                                                              |===========================================================           |  84%  |                                                                              |============================================================          |  85%  |                                                                              |============================================================          |  86%  |                                                                              |=============================================================         |  87%  |                                                                              |==============================================================        |  88%  |                                                                              |==============================================================        |  89%  |                                                                              |===============================================================       |  90%  |                                                                              |================================================================      |  91%  |                                                                              |================================================================      |  92%  |                                                                              |=================================================================     |  93%  |                                                                              |==================================================================    |  94%  |                                                                              |==================================================================    |  95%  |                                                                              |===================================================================   |  96%  |                                                                              |====================================================================  |  97%  |                                                                              |===================================================================== |  98%  |                                                                              |===================================================================== |  99%  |                                                                              |======================================================================| 100%
#>   |                                                                              |                                                                      |   0%  |                                                                              |=                                                                     |   1%  |                                                                              |=                                                                     |   2%  |                                                                              |==                                                                    |   3%  |                                                                              |===                                                                   |   4%  |                                                                              |====                                                                  |   5%  |                                                                              |====                                                                  |   6%  |                                                                              |=====                                                                 |   7%  |                                                                              |======                                                                |   8%  |                                                                              |======                                                                |   9%  |                                                                              |=======                                                               |  10%  |                                                                              |========                                                              |  11%  |                                                                              |========                                                              |  12%  |                                                                              |=========                                                             |  13%  |                                                                              |==========                                                            |  14%  |                                                                              |==========                                                            |  15%  |                                                                              |===========                                                           |  16%  |                                                                              |============                                                          |  17%  |                                                                              |=============                                                         |  18%  |                                                                              |=============                                                         |  19%  |                                                                              |==============                                                        |  20%  |                                                                              |===============                                                       |  21%  |                                                                              |===============                                                       |  22%  |                                                                              |================                                                      |  23%  |                                                                              |=================                                                     |  24%  |                                                                              |==================                                                    |  25%  |                                                                              |==================                                                    |  26%  |                                                                              |===================                                                   |  27%  |                                                                              |====================                                                  |  28%  |                                                                              |====================                                                  |  29%  |                                                                              |=====================                                                 |  30%  |                                                                              |======================                                                |  31%  |                                                                              |======================                                                |  32%  |                                                                              |=======================                                               |  33%  |                                                                              |========================                                              |  34%  |                                                                              |========================                                              |  35%  |                                                                              |=========================                                             |  36%  |                                                                              |==========================                                            |  37%  |                                                                              |===========================                                           |  38%  |                                                                              |===========================                                           |  39%  |                                                                              |============================                                          |  40%  |                                                                              |=============================                                         |  41%  |                                                                              |=============================                                         |  42%  |                                                                              |==============================                                        |  43%  |                                                                              |===============================                                       |  44%  |                                                                              |================================                                      |  45%  |                                                                              |================================                                      |  46%  |                                                                              |=================================                                     |  47%  |                                                                              |==================================                                    |  48%  |                                                                              |==================================                                    |  49%  |                                                                              |===================================                                   |  50%  |                                                                              |====================================                                  |  51%  |                                                                              |====================================                                  |  52%  |                                                                              |=====================================                                 |  53%  |                                                                              |======================================                                |  54%  |                                                                              |======================================                                |  55%  |                                                                              |=======================================                               |  56%  |                                                                              |========================================                              |  57%  |                                                                              |=========================================                             |  58%  |                                                                              |=========================================                             |  59%  |                                                                              |==========================================                            |  60%  |                                                                              |===========================================                           |  61%  |                                                                              |===========================================                           |  62%  |                                                                              |============================================                          |  63%  |                                                                              |=============================================                         |  64%  |                                                                              |==============================================                        |  65%  |                                                                              |==============================================                        |  66%  |                                                                              |===============================================                       |  67%  |                                                                              |================================================                      |  68%  |                                                                              |================================================                      |  69%  |                                                                              |=================================================                     |  70%  |                                                                              |==================================================                    |  71%  |                                                                              |==================================================                    |  72%  |                                                                              |===================================================                   |  73%  |                                                                              |====================================================                  |  74%  |                                                                              |====================================================                  |  75%  |                                                                              |=====================================================                 |  76%  |                                                                              |======================================================                |  77%  |                                                                              |=======================================================               |  78%  |                                                                              |=======================================================               |  79%  |                                                                              |========================================================              |  80%  |                                                                              |=========================================================             |  81%  |                                                                              |=========================================================             |  82%  |                                                                              |==========================================================            |  83%  |                                                                              |===========================================================           |  84%  |                                                                              |============================================================          |  85%  |                                                                              |============================================================          |  86%  |                                                                              |=============================================================         |  87%  |                                                                              |==============================================================        |  88%  |                                                                              |==============================================================        |  89%  |                                                                              |===============================================================       |  90%  |                                                                              |================================================================      |  91%  |                                                                              |================================================================      |  92%  |                                                                              |=================================================================     |  93%  |                                                                              |==================================================================    |  94%  |                                                                              |==================================================================    |  95%  |                                                                              |===================================================================   |  96%  |                                                                              |====================================================================  |  97%  |                                                                              |===================================================================== |  98%  |                                                                              |===================================================================== |  99%  |                                                                              |======================================================================| 100%
#>   |                                                                              |                                                                      |   0%  |                                                                              |=                                                                     |   1%  |                                                                              |=                                                                     |   2%  |                                                                              |==                                                                    |   3%  |                                                                              |===                                                                   |   4%  |                                                                              |====                                                                  |   5%  |                                                                              |====                                                                  |   6%  |                                                                              |=====                                                                 |   7%  |                                                                              |======                                                                |   8%  |                                                                              |======                                                                |   9%  |                                                                              |=======                                                               |  10%  |                                                                              |========                                                              |  11%  |                                                                              |========                                                              |  12%  |                                                                              |=========                                                             |  13%  |                                                                              |==========                                                            |  14%  |                                                                              |==========                                                            |  15%  |                                                                              |===========                                                           |  16%  |                                                                              |============                                                          |  17%  |                                                                              |=============                                                         |  18%  |                                                                              |=============                                                         |  19%  |                                                                              |==============                                                        |  20%  |                                                                              |===============                                                       |  21%  |                                                                              |===============                                                       |  22%  |                                                                              |================                                                      |  23%  |                                                                              |=================                                                     |  24%  |                                                                              |==================                                                    |  25%  |                                                                              |==================                                                    |  26%  |                                                                              |===================                                                   |  27%  |                                                                              |====================                                                  |  28%  |                                                                              |====================                                                  |  29%  |                                                                              |=====================                                                 |  30%  |                                                                              |======================                                                |  31%  |                                                                              |======================                                                |  32%  |                                                                              |=======================                                               |  33%  |                                                                              |========================                                              |  34%  |                                                                              |========================                                              |  35%  |                                                                              |=========================                                             |  36%  |                                                                              |==========================                                            |  37%  |                                                                              |===========================                                           |  38%  |                                                                              |===========================                                           |  39%  |                                                                              |============================                                          |  40%  |                                                                              |=============================                                         |  41%  |                                                                              |=============================                                         |  42%  |                                                                              |==============================                                        |  43%  |                                                                              |===============================                                       |  44%  |                                                                              |================================                                      |  45%  |                                                                              |================================                                      |  46%  |                                                                              |=================================                                     |  47%  |                                                                              |==================================                                    |  48%  |                                                                              |==================================                                    |  49%  |                                                                              |===================================                                   |  50%  |                                                                              |====================================                                  |  51%  |                                                                              |====================================                                  |  52%  |                                                                              |=====================================                                 |  53%  |                                                                              |======================================                                |  54%  |                                                                              |======================================                                |  55%  |                                                                              |=======================================                               |  56%  |                                                                              |========================================                              |  57%  |                                                                              |=========================================                             |  58%  |                                                                              |=========================================                             |  59%  |                                                                              |==========================================                            |  60%  |                                                                              |===========================================                           |  61%  |                                                                              |===========================================                           |  62%  |                                                                              |============================================                          |  63%  |                                                                              |=============================================                         |  64%  |                                                                              |==============================================                        |  65%  |                                                                              |==============================================                        |  66%  |                                                                              |===============================================                       |  67%  |                                                                              |================================================                      |  68%  |                                                                              |================================================                      |  69%  |                                                                              |=================================================                     |  70%  |                                                                              |==================================================                    |  71%  |                                                                              |==================================================                    |  72%  |                                                                              |===================================================                   |  73%  |                                                                              |====================================================                  |  74%  |                                                                              |====================================================                  |  75%  |                                                                              |=====================================================                 |  76%  |                                                                              |======================================================                |  77%  |                                                                              |=======================================================               |  78%  |                                                                              |=======================================================               |  79%  |                                                                              |========================================================              |  80%  |                                                                              |=========================================================             |  81%  |                                                                              |=========================================================             |  82%  |                                                                              |==========================================================            |  83%  |                                                                              |===========================================================           |  84%  |                                                                              |============================================================          |  85%  |                                                                              |============================================================          |  86%  |                                                                              |=============================================================         |  87%  |                                                                              |==============================================================        |  88%  |                                                                              |==============================================================        |  89%  |                                                                              |===============================================================       |  90%  |                                                                              |================================================================      |  91%  |                                                                              |================================================================      |  92%  |                                                                              |=================================================================     |  93%  |                                                                              |==================================================================    |  94%  |                                                                              |==================================================================    |  95%  |                                                                              |===================================================================   |  96%  |                                                                              |====================================================================  |  97%  |                                                                              |===================================================================== |  98%  |                                                                              |===================================================================== |  99%  |                                                                              |======================================================================| 100%
#>   |                                                                              |                                                                      |   0%  |                                                                              |=                                                                     |   1%  |                                                                              |=                                                                     |   2%  |                                                                              |==                                                                    |   3%  |                                                                              |===                                                                   |   4%  |                                                                              |====                                                                  |   5%  |                                                                              |====                                                                  |   6%  |                                                                              |=====                                                                 |   7%  |                                                                              |======                                                                |   8%  |                                                                              |======                                                                |   9%  |                                                                              |=======                                                               |  10%  |                                                                              |========                                                              |  11%  |                                                                              |========                                                              |  12%  |                                                                              |=========                                                             |  13%  |                                                                              |==========                                                            |  14%  |                                                                              |==========                                                            |  15%  |                                                                              |===========                                                           |  16%  |                                                                              |============                                                          |  17%  |                                                                              |=============                                                         |  18%  |                                                                              |=============                                                         |  19%  |                                                                              |==============                                                        |  20%  |                                                                              |===============                                                       |  21%  |                                                                              |===============                                                       |  22%  |                                                                              |================                                                      |  23%  |                                                                              |=================                                                     |  24%  |                                                                              |==================                                                    |  25%  |                                                                              |==================                                                    |  26%  |                                                                              |===================                                                   |  27%  |                                                                              |====================                                                  |  28%  |                                                                              |====================                                                  |  29%  |                                                                              |=====================                                                 |  30%  |                                                                              |======================                                                |  31%  |                                                                              |======================                                                |  32%  |                                                                              |=======================                                               |  33%  |                                                                              |========================                                              |  34%  |                                                                              |========================                                              |  35%  |                                                                              |=========================                                             |  36%  |                                                                              |==========================                                            |  37%  |                                                                              |===========================                                           |  38%  |                                                                              |===========================                                           |  39%  |                                                                              |============================                                          |  40%  |                                                                              |=============================                                         |  41%  |                                                                              |=============================                                         |  42%  |                                                                              |==============================                                        |  43%  |                                                                              |===============================                                       |  44%  |                                                                              |================================                                      |  45%  |                                                                              |================================                                      |  46%  |                                                                              |=================================                                     |  47%  |                                                                              |==================================                                    |  48%  |                                                                              |==================================                                    |  49%  |                                                                              |===================================                                   |  50%  |                                                                              |====================================                                  |  51%  |                                                                              |====================================                                  |  52%  |                                                                              |=====================================                                 |  53%  |                                                                              |======================================                                |  54%  |                                                                              |======================================                                |  55%  |                                                                              |=======================================                               |  56%  |                                                                              |========================================                              |  57%  |                                                                              |=========================================                             |  58%  |                                                                              |=========================================                             |  59%  |                                                                              |==========================================                            |  60%  |                                                                              |===========================================                           |  61%  |                                                                              |===========================================                           |  62%  |                                                                              |============================================                          |  63%  |                                                                              |=============================================                         |  64%  |                                                                              |==============================================                        |  65%  |                                                                              |==============================================                        |  66%  |                                                                              |===============================================                       |  67%  |                                                                              |================================================                      |  68%  |                                                                              |================================================                      |  69%  |                                                                              |=================================================                     |  70%  |                                                                              |==================================================                    |  71%  |                                                                              |==================================================                    |  72%  |                                                                              |===================================================                   |  73%  |                                                                              |====================================================                  |  74%  |                                                                              |====================================================                  |  75%  |                                                                              |=====================================================                 |  76%  |                                                                              |======================================================                |  77%  |                                                                              |=======================================================               |  78%  |                                                                              |=======================================================               |  79%  |                                                                              |========================================================              |  80%  |                                                                              |=========================================================             |  81%  |                                                                              |=========================================================             |  82%  |                                                                              |==========================================================            |  83%  |                                                                              |===========================================================           |  84%  |                                                                              |============================================================          |  85%  |                                                                              |============================================================          |  86%  |                                                                              |=============================================================         |  87%  |                                                                              |==============================================================        |  88%  |                                                                              |==============================================================        |  89%  |                                                                              |===============================================================       |  90%  |                                                                              |================================================================      |  91%  |                                                                              |================================================================      |  92%  |                                                                              |=================================================================     |  93%  |                                                                              |==================================================================    |  94%  |                                                                              |==================================================================    |  95%  |                                                                              |===================================================================   |  96%  |                                                                              |====================================================================  |  97%  |                                                                              |===================================================================== |  98%  |                                                                              |===================================================================== |  99%  |                                                                              |======================================================================| 100%
#>   |                                                                              |                                                                      |   0%  |                                                                              |=                                                                     |   1%  |                                                                              |=                                                                     |   2%  |                                                                              |==                                                                    |   3%  |                                                                              |===                                                                   |   4%  |                                                                              |====                                                                  |   5%  |                                                                              |====                                                                  |   6%  |                                                                              |=====                                                                 |   7%  |                                                                              |======                                                                |   8%  |                                                                              |======                                                                |   9%  |                                                                              |=======                                                               |  10%  |                                                                              |========                                                              |  11%  |                                                                              |========                                                              |  12%  |                                                                              |=========                                                             |  13%  |                                                                              |==========                                                            |  14%  |                                                                              |==========                                                            |  15%  |                                                                              |===========                                                           |  16%  |                                                                              |============                                                          |  17%  |                                                                              |=============                                                         |  18%  |                                                                              |=============                                                         |  19%  |                                                                              |==============                                                        |  20%  |                                                                              |===============                                                       |  21%  |                                                                              |===============                                                       |  22%  |                                                                              |================                                                      |  23%  |                                                                              |=================                                                     |  24%  |                                                                              |==================                                                    |  25%  |                                                                              |==================                                                    |  26%  |                                                                              |===================                                                   |  27%  |                                                                              |====================                                                  |  28%  |                                                                              |====================                                                  |  29%  |                                                                              |=====================                                                 |  30%  |                                                                              |======================                                                |  31%  |                                                                              |======================                                                |  32%  |                                                                              |=======================                                               |  33%  |                                                                              |========================                                              |  34%  |                                                                              |========================                                              |  35%  |                                                                              |=========================                                             |  36%  |                                                                              |==========================                                            |  37%  |                                                                              |===========================                                           |  38%  |                                                                              |===========================                                           |  39%  |                                                                              |============================                                          |  40%  |                                                                              |=============================                                         |  41%  |                                                                              |=============================                                         |  42%  |                                                                              |==============================                                        |  43%  |                                                                              |===============================                                       |  44%  |                                                                              |================================                                      |  45%  |                                                                              |================================                                      |  46%  |                                                                              |=================================                                     |  47%  |                                                                              |==================================                                    |  48%  |                                                                              |==================================                                    |  49%  |                                                                              |===================================                                   |  50%  |                                                                              |====================================                                  |  51%  |                                                                              |====================================                                  |  52%  |                                                                              |=====================================                                 |  53%  |                                                                              |======================================                                |  54%  |                                                                              |======================================                                |  55%  |                                                                              |=======================================                               |  56%  |                                                                              |========================================                              |  57%  |                                                                              |=========================================                             |  58%  |                                                                              |=========================================                             |  59%  |                                                                              |==========================================                            |  60%  |                                                                              |===========================================                           |  61%  |                                                                              |===========================================                           |  62%  |                                                                              |============================================                          |  63%  |                                                                              |=============================================                         |  64%  |                                                                              |==============================================                        |  65%  |                                                                              |==============================================                        |  66%  |                                                                              |===============================================                       |  67%  |                                                                              |================================================                      |  68%  |                                                                              |================================================                      |  69%  |                                                                              |=================================================                     |  70%  |                                                                              |==================================================                    |  71%  |                                                                              |==================================================                    |  72%  |                                                                              |===================================================                   |  73%  |                                                                              |====================================================                  |  74%  |                                                                              |====================================================                  |  75%  |                                                                              |=====================================================                 |  76%  |                                                                              |======================================================                |  77%  |                                                                              |=======================================================               |  78%  |                                                                              |=======================================================               |  79%  |                                                                              |========================================================              |  80%  |                                                                              |=========================================================             |  81%  |                                                                              |=========================================================             |  82%  |                                                                              |==========================================================            |  83%  |                                                                              |===========================================================           |  84%  |                                                                              |============================================================          |  85%  |                                                                              |============================================================          |  86%  |                                                                              |=============================================================         |  87%  |                                                                              |==============================================================        |  88%  |                                                                              |==============================================================        |  89%  |                                                                              |===============================================================       |  90%  |                                                                              |================================================================      |  91%  |                                                                              |================================================================      |  92%  |                                                                              |=================================================================     |  93%  |                                                                              |==================================================================    |  94%  |                                                                              |==================================================================    |  95%  |                                                                              |===================================================================   |  96%  |                                                                              |====================================================================  |  97%  |                                                                              |===================================================================== |  98%  |                                                                              |===================================================================== |  99%  |                                                                              |======================================================================| 100%
#>   |                                                                              |                                                                      |   0%  |                                                                              |=                                                                     |   1%  |                                                                              |=                                                                     |   2%  |                                                                              |==                                                                    |   3%  |                                                                              |===                                                                   |   4%  |                                                                              |====                                                                  |   5%  |                                                                              |====                                                                  |   6%  |                                                                              |=====                                                                 |   7%  |                                                                              |======                                                                |   8%  |                                                                              |======                                                                |   9%  |                                                                              |=======                                                               |  10%  |                                                                              |========                                                              |  11%  |                                                                              |========                                                              |  12%  |                                                                              |=========                                                             |  13%  |                                                                              |==========                                                            |  14%  |                                                                              |==========                                                            |  15%  |                                                                              |===========                                                           |  16%  |                                                                              |============                                                          |  17%  |                                                                              |=============                                                         |  18%  |                                                                              |=============                                                         |  19%  |                                                                              |==============                                                        |  20%  |                                                                              |===============                                                       |  21%  |                                                                              |===============                                                       |  22%  |                                                                              |================                                                      |  23%  |                                                                              |=================                                                     |  24%  |                                                                              |==================                                                    |  25%  |                                                                              |==================                                                    |  26%  |                                                                              |===================                                                   |  27%  |                                                                              |====================                                                  |  28%  |                                                                              |====================                                                  |  29%  |                                                                              |=====================                                                 |  30%  |                                                                              |======================                                                |  31%  |                                                                              |======================                                                |  32%  |                                                                              |=======================                                               |  33%  |                                                                              |========================                                              |  34%  |                                                                              |========================                                              |  35%  |                                                                              |=========================                                             |  36%  |                                                                              |==========================                                            |  37%  |                                                                              |===========================                                           |  38%  |                                                                              |===========================                                           |  39%  |                                                                              |============================                                          |  40%  |                                                                              |=============================                                         |  41%  |                                                                              |=============================                                         |  42%  |                                                                              |==============================                                        |  43%  |                                                                              |===============================                                       |  44%  |                                                                              |================================                                      |  45%  |                                                                              |================================                                      |  46%  |                                                                              |=================================                                     |  47%  |                                                                              |==================================                                    |  48%  |                                                                              |==================================                                    |  49%  |                                                                              |===================================                                   |  50%  |                                                                              |====================================                                  |  51%  |                                                                              |====================================                                  |  52%  |                                                                              |=====================================                                 |  53%  |                                                                              |======================================                                |  54%  |                                                                              |======================================                                |  55%  |                                                                              |=======================================                               |  56%  |                                                                              |========================================                              |  57%  |                                                                              |=========================================                             |  58%  |                                                                              |=========================================                             |  59%  |                                                                              |==========================================                            |  60%  |                                                                              |===========================================                           |  61%  |                                                                              |===========================================                           |  62%  |                                                                              |============================================                          |  63%  |                                                                              |=============================================                         |  64%  |                                                                              |==============================================                        |  65%  |                                                                              |==============================================                        |  66%  |                                                                              |===============================================                       |  67%  |                                                                              |================================================                      |  68%  |                                                                              |================================================                      |  69%  |                                                                              |=================================================                     |  70%  |                                                                              |==================================================                    |  71%  |                                                                              |==================================================                    |  72%  |                                                                              |===================================================                   |  73%  |                                                                              |====================================================                  |  74%  |                                                                              |====================================================                  |  75%  |                                                                              |=====================================================                 |  76%  |                                                                              |======================================================                |  77%  |                                                                              |=======================================================               |  78%  |                                                                              |=======================================================               |  79%  |                                                                              |========================================================              |  80%  |                                                                              |=========================================================             |  81%  |                                                                              |=========================================================             |  82%  |                                                                              |==========================================================            |  83%  |                                                                              |===========================================================           |  84%  |                                                                              |============================================================          |  85%  |                                                                              |============================================================          |  86%  |                                                                              |=============================================================         |  87%  |                                                                              |==============================================================        |  88%  |                                                                              |==============================================================        |  89%  |                                                                              |===============================================================       |  90%  |                                                                              |================================================================      |  91%  |                                                                              |================================================================      |  92%  |                                                                              |=================================================================     |  93%  |                                                                              |==================================================================    |  94%  |                                                                              |==================================================================    |  95%  |                                                                              |===================================================================   |  96%  |                                                                              |====================================================================  |  97%  |                                                                              |===================================================================== |  98%  |                                                                              |===================================================================== |  99%  |                                                                              |======================================================================| 100%
#>   |                                                                              |                                                                      |   0%  |                                                                              |=                                                                     |   1%  |                                                                              |=                                                                     |   2%  |                                                                              |==                                                                    |   3%  |                                                                              |===                                                                   |   4%  |                                                                              |====                                                                  |   5%  |                                                                              |====                                                                  |   6%  |                                                                              |=====                                                                 |   7%  |                                                                              |======                                                                |   8%  |                                                                              |======                                                                |   9%  |                                                                              |=======                                                               |  10%  |                                                                              |========                                                              |  11%  |                                                                              |========                                                              |  12%  |                                                                              |=========                                                             |  13%  |                                                                              |==========                                                            |  14%  |                                                                              |==========                                                            |  15%  |                                                                              |===========                                                           |  16%  |                                                                              |============                                                          |  17%  |                                                                              |=============                                                         |  18%  |                                                                              |=============                                                         |  19%  |                                                                              |==============                                                        |  20%  |                                                                              |===============                                                       |  21%  |                                                                              |===============                                                       |  22%  |                                                                              |================                                                      |  23%  |                                                                              |=================                                                     |  24%  |                                                                              |==================                                                    |  25%  |                                                                              |==================                                                    |  26%  |                                                                              |===================                                                   |  27%  |                                                                              |====================                                                  |  28%  |                                                                              |====================                                                  |  29%  |                                                                              |=====================                                                 |  30%  |                                                                              |======================                                                |  31%  |                                                                              |======================                                                |  32%  |                                                                              |=======================                                               |  33%  |                                                                              |========================                                              |  34%  |                                                                              |========================                                              |  35%  |                                                                              |=========================                                             |  36%  |                                                                              |==========================                                            |  37%  |                                                                              |===========================                                           |  38%  |                                                                              |===========================                                           |  39%  |                                                                              |============================                                          |  40%  |                                                                              |=============================                                         |  41%  |                                                                              |=============================                                         |  42%  |                                                                              |==============================                                        |  43%  |                                                                              |===============================                                       |  44%  |                                                                              |================================                                      |  45%  |                                                                              |================================                                      |  46%  |                                                                              |=================================                                     |  47%  |                                                                              |==================================                                    |  48%  |                                                                              |==================================                                    |  49%  |                                                                              |===================================                                   |  50%  |                                                                              |====================================                                  |  51%  |                                                                              |====================================                                  |  52%  |                                                                              |=====================================                                 |  53%  |                                                                              |======================================                                |  54%  |                                                                              |======================================                                |  55%  |                                                                              |=======================================                               |  56%  |                                                                              |========================================                              |  57%  |                                                                              |=========================================                             |  58%  |                                                                              |=========================================                             |  59%  |                                                                              |==========================================                            |  60%  |                                                                              |===========================================                           |  61%  |                                                                              |===========================================                           |  62%  |                                                                              |============================================                          |  63%  |                                                                              |=============================================                         |  64%  |                                                                              |==============================================                        |  65%  |                                                                              |==============================================                        |  66%  |                                                                              |===============================================                       |  67%  |                                                                              |================================================                      |  68%  |                                                                              |================================================                      |  69%  |                                                                              |=================================================                     |  70%  |                                                                              |==================================================                    |  71%  |                                                                              |==================================================                    |  72%  |                                                                              |===================================================                   |  73%  |                                                                              |====================================================                  |  74%  |                                                                              |====================================================                  |  75%  |                                                                              |=====================================================                 |  76%  |                                                                              |======================================================                |  77%  |                                                                              |=======================================================               |  78%  |                                                                              |=======================================================               |  79%  |                                                                              |========================================================              |  80%  |                                                                              |=========================================================             |  81%  |                                                                              |=========================================================             |  82%  |                                                                              |==========================================================            |  83%  |                                                                              |===========================================================           |  84%  |                                                                              |============================================================          |  85%  |                                                                              |============================================================          |  86%  |                                                                              |=============================================================         |  87%  |                                                                              |==============================================================        |  88%  |                                                                              |==============================================================        |  89%  |                                                                              |===============================================================       |  90%  |                                                                              |================================================================      |  91%  |                                                                              |================================================================      |  92%  |                                                                              |=================================================================     |  93%  |                                                                              |==================================================================    |  94%  |                                                                              |==================================================================    |  95%  |                                                                              |===================================================================   |  96%  |                                                                              |====================================================================  |  97%  |                                                                              |===================================================================== |  98%  |                                                                              |===================================================================== |  99%  |                                                                              |======================================================================| 100%
#>   |                                                                              |                                                                      |   0%  |                                                                              |=                                                                     |   1%  |                                                                              |=                                                                     |   2%  |                                                                              |==                                                                    |   3%  |                                                                              |===                                                                   |   4%  |                                                                              |====                                                                  |   5%  |                                                                              |====                                                                  |   6%  |                                                                              |=====                                                                 |   7%  |                                                                              |======                                                                |   8%  |                                                                              |======                                                                |   9%  |                                                                              |=======                                                               |  10%  |                                                                              |========                                                              |  11%  |                                                                              |========                                                              |  12%  |                                                                              |=========                                                             |  13%  |                                                                              |==========                                                            |  14%  |                                                                              |==========                                                            |  15%  |                                                                              |===========                                                           |  16%  |                                                                              |============                                                          |  17%  |                                                                              |=============                                                         |  18%  |                                                                              |=============                                                         |  19%  |                                                                              |==============                                                        |  20%  |                                                                              |===============                                                       |  21%  |                                                                              |===============                                                       |  22%  |                                                                              |================                                                      |  23%  |                                                                              |=================                                                     |  24%  |                                                                              |==================                                                    |  25%  |                                                                              |==================                                                    |  26%  |                                                                              |===================                                                   |  27%  |                                                                              |====================                                                  |  28%  |                                                                              |====================                                                  |  29%  |                                                                              |=====================                                                 |  30%  |                                                                              |======================                                                |  31%  |                                                                              |======================                                                |  32%  |                                                                              |=======================                                               |  33%  |                                                                              |========================                                              |  34%  |                                                                              |========================                                              |  35%  |                                                                              |=========================                                             |  36%  |                                                                              |==========================                                            |  37%  |                                                                              |===========================                                           |  38%  |                                                                              |===========================                                           |  39%  |                                                                              |============================                                          |  40%  |                                                                              |=============================                                         |  41%  |                                                                              |=============================                                         |  42%  |                                                                              |==============================                                        |  43%  |                                                                              |===============================                                       |  44%  |                                                                              |================================                                      |  45%  |                                                                              |================================                                      |  46%  |                                                                              |=================================                                     |  47%  |                                                                              |==================================                                    |  48%  |                                                                              |==================================                                    |  49%  |                                                                              |===================================                                   |  50%  |                                                                              |====================================                                  |  51%  |                                                                              |====================================                                  |  52%  |                                                                              |=====================================                                 |  53%  |                                                                              |======================================                                |  54%  |                                                                              |======================================                                |  55%  |                                                                              |=======================================                               |  56%  |                                                                              |========================================                              |  57%  |                                                                              |=========================================                             |  58%  |                                                                              |=========================================                             |  59%  |                                                                              |==========================================                            |  60%  |                                                                              |===========================================                           |  61%  |                                                                              |===========================================                           |  62%  |                                                                              |============================================                          |  63%  |                                                                              |=============================================                         |  64%  |                                                                              |==============================================                        |  65%  |                                                                              |==============================================                        |  66%  |                                                                              |===============================================                       |  67%  |                                                                              |================================================                      |  68%  |                                                                              |================================================                      |  69%  |                                                                              |=================================================                     |  70%  |                                                                              |==================================================                    |  71%  |                                                                              |==================================================                    |  72%  |                                                                              |===================================================                   |  73%  |                                                                              |====================================================                  |  74%  |                                                                              |====================================================                  |  75%  |                                                                              |=====================================================                 |  76%  |                                                                              |======================================================                |  77%  |                                                                              |=======================================================               |  78%  |                                                                              |=======================================================               |  79%  |                                                                              |========================================================              |  80%  |                                                                              |=========================================================             |  81%  |                                                                              |=========================================================             |  82%  |                                                                              |==========================================================            |  83%  |                                                                              |===========================================================           |  84%  |                                                                              |============================================================          |  85%  |                                                                              |============================================================          |  86%  |                                                                              |=============================================================         |  87%  |                                                                              |==============================================================        |  88%  |                                                                              |==============================================================        |  89%  |                                                                              |===============================================================       |  90%  |                                                                              |================================================================      |  91%  |                                                                              |================================================================      |  92%  |                                                                              |=================================================================     |  93%  |                                                                              |==================================================================    |  94%  |                                                                              |==================================================================    |  95%  |                                                                              |===================================================================   |  96%  |                                                                              |====================================================================  |  97%  |                                                                              |===================================================================== |  98%  |                                                                              |===================================================================== |  99%  |                                                                              |======================================================================| 100%
#>   |                                                                              |                                                                      |   0%  |                                                                              |=                                                                     |   1%  |                                                                              |=                                                                     |   2%  |                                                                              |==                                                                    |   3%  |                                                                              |===                                                                   |   4%  |                                                                              |====                                                                  |   5%  |                                                                              |====                                                                  |   6%  |                                                                              |=====                                                                 |   7%  |                                                                              |======                                                                |   8%  |                                                                              |======                                                                |   9%  |                                                                              |=======                                                               |  10%  |                                                                              |========                                                              |  11%  |                                                                              |========                                                              |  12%  |                                                                              |=========                                                             |  13%  |                                                                              |==========                                                            |  14%  |                                                                              |==========                                                            |  15%  |                                                                              |===========                                                           |  16%  |                                                                              |============                                                          |  17%  |                                                                              |=============                                                         |  18%  |                                                                              |=============                                                         |  19%  |                                                                              |==============                                                        |  20%  |                                                                              |===============                                                       |  21%  |                                                                              |===============                                                       |  22%  |                                                                              |================                                                      |  23%  |                                                                              |=================                                                     |  24%  |                                                                              |==================                                                    |  25%  |                                                                              |==================                                                    |  26%  |                                                                              |===================                                                   |  27%  |                                                                              |====================                                                  |  28%  |                                                                              |====================                                                  |  29%  |                                                                              |=====================                                                 |  30%  |                                                                              |======================                                                |  31%  |                                                                              |======================                                                |  32%  |                                                                              |=======================                                               |  33%  |                                                                              |========================                                              |  34%  |                                                                              |========================                                              |  35%  |                                                                              |=========================                                             |  36%  |                                                                              |==========================                                            |  37%  |                                                                              |===========================                                           |  38%  |                                                                              |===========================                                           |  39%  |                                                                              |============================                                          |  40%  |                                                                              |=============================                                         |  41%  |                                                                              |=============================                                         |  42%  |                                                                              |==============================                                        |  43%  |                                                                              |===============================                                       |  44%  |                                                                              |================================                                      |  45%  |                                                                              |================================                                      |  46%  |                                                                              |=================================                                     |  47%  |                                                                              |==================================                                    |  48%  |                                                                              |==================================                                    |  49%  |                                                                              |===================================                                   |  50%  |                                                                              |====================================                                  |  51%  |                                                                              |====================================                                  |  52%  |                                                                              |=====================================                                 |  53%  |                                                                              |======================================                                |  54%  |                                                                              |======================================                                |  55%  |                                                                              |=======================================                               |  56%  |                                                                              |========================================                              |  57%  |                                                                              |=========================================                             |  58%  |                                                                              |=========================================                             |  59%  |                                                                              |==========================================                            |  60%  |                                                                              |===========================================                           |  61%  |                                                                              |===========================================                           |  62%  |                                                                              |============================================                          |  63%  |                                                                              |=============================================                         |  64%  |                                                                              |==============================================                        |  65%  |                                                                              |==============================================                        |  66%  |                                                                              |===============================================                       |  67%  |                                                                              |================================================                      |  68%  |                                                                              |================================================                      |  69%  |                                                                              |=================================================                     |  70%  |                                                                              |==================================================                    |  71%  |                                                                              |==================================================                    |  72%  |                                                                              |===================================================                   |  73%  |                                                                              |====================================================                  |  74%  |                                                                              |====================================================                  |  75%  |                                                                              |=====================================================                 |  76%  |                                                                              |======================================================                |  77%  |                                                                              |=======================================================               |  78%  |                                                                              |=======================================================               |  79%  |                                                                              |========================================================              |  80%  |                                                                              |=========================================================             |  81%  |                                                                              |=========================================================             |  82%  |                                                                              |==========================================================            |  83%  |                                                                              |===========================================================           |  84%  |                                                                              |============================================================          |  85%  |                                                                              |============================================================          |  86%  |                                                                              |=============================================================         |  87%  |                                                                              |==============================================================        |  88%  |                                                                              |==============================================================        |  89%  |                                                                              |===============================================================       |  90%  |                                                                              |================================================================      |  91%  |                                                                              |================================================================      |  92%  |                                                                              |=================================================================     |  93%  |                                                                              |==================================================================    |  94%  |                                                                              |==================================================================    |  95%  |                                                                              |===================================================================   |  96%  |                                                                              |====================================================================  |  97%  |                                                                              |===================================================================== |  98%  |                                                                              |===================================================================== |  99%  |                                                                              |======================================================================| 100%
#>   |                                                                              |                                                                      |   0%  |                                                                              |=                                                                     |   1%  |                                                                              |=                                                                     |   2%  |                                                                              |==                                                                    |   3%  |                                                                              |===                                                                   |   4%  |                                                                              |====                                                                  |   5%  |                                                                              |====                                                                  |   6%  |                                                                              |=====                                                                 |   7%  |                                                                              |======                                                                |   8%  |                                                                              |======                                                                |   9%  |                                                                              |=======                                                               |  10%  |                                                                              |========                                                              |  11%  |                                                                              |========                                                              |  12%  |                                                                              |=========                                                             |  13%  |                                                                              |==========                                                            |  14%  |                                                                              |==========                                                            |  15%  |                                                                              |===========                                                           |  16%  |                                                                              |============                                                          |  17%  |                                                                              |=============                                                         |  18%  |                                                                              |=============                                                         |  19%  |                                                                              |==============                                                        |  20%  |                                                                              |===============                                                       |  21%  |                                                                              |===============                                                       |  22%  |                                                                              |================                                                      |  23%  |                                                                              |=================                                                     |  24%  |                                                                              |==================                                                    |  25%  |                                                                              |==================                                                    |  26%  |                                                                              |===================                                                   |  27%  |                                                                              |====================                                                  |  28%  |                                                                              |====================                                                  |  29%  |                                                                              |=====================                                                 |  30%  |                                                                              |======================                                                |  31%  |                                                                              |======================                                                |  32%  |                                                                              |=======================                                               |  33%  |                                                                              |========================                                              |  34%  |                                                                              |========================                                              |  35%  |                                                                              |=========================                                             |  36%  |                                                                              |==========================                                            |  37%  |                                                                              |===========================                                           |  38%  |                                                                              |===========================                                           |  39%  |                                                                              |============================                                          |  40%  |                                                                              |=============================                                         |  41%  |                                                                              |=============================                                         |  42%  |                                                                              |==============================                                        |  43%  |                                                                              |===============================                                       |  44%  |                                                                              |================================                                      |  45%  |                                                                              |================================                                      |  46%  |                                                                              |=================================                                     |  47%  |                                                                              |==================================                                    |  48%  |                                                                              |==================================                                    |  49%  |                                                                              |===================================                                   |  50%  |                                                                              |====================================                                  |  51%  |                                                                              |====================================                                  |  52%  |                                                                              |=====================================                                 |  53%  |                                                                              |======================================                                |  54%  |                                                                              |======================================                                |  55%  |                                                                              |=======================================                               |  56%  |                                                                              |========================================                              |  57%  |                                                                              |=========================================                             |  58%  |                                                                              |=========================================                             |  59%  |                                                                              |==========================================                            |  60%  |                                                                              |===========================================                           |  61%  |                                                                              |===========================================                           |  62%  |                                                                              |============================================                          |  63%  |                                                                              |=============================================                         |  64%  |                                                                              |==============================================                        |  65%  |                                                                              |==============================================                        |  66%  |                                                                              |===============================================                       |  67%  |                                                                              |================================================                      |  68%  |                                                                              |================================================                      |  69%  |                                                                              |=================================================                     |  70%  |                                                                              |==================================================                    |  71%  |                                                                              |==================================================                    |  72%  |                                                                              |===================================================                   |  73%  |                                                                              |====================================================                  |  74%  |                                                                              |====================================================                  |  75%  |                                                                              |=====================================================                 |  76%  |                                                                              |======================================================                |  77%  |                                                                              |=======================================================               |  78%  |                                                                              |=======================================================               |  79%  |                                                                              |========================================================              |  80%  |                                                                              |=========================================================             |  81%  |                                                                              |=========================================================             |  82%  |                                                                              |==========================================================            |  83%  |                                                                              |===========================================================           |  84%  |                                                                              |============================================================          |  85%  |                                                                              |============================================================          |  86%  |                                                                              |=============================================================         |  87%  |                                                                              |==============================================================        |  88%  |                                                                              |==============================================================        |  89%  |                                                                              |===============================================================       |  90%  |                                                                              |================================================================      |  91%  |                                                                              |================================================================      |  92%  |                                                                              |=================================================================     |  93%  |                                                                              |==================================================================    |  94%  |                                                                              |==================================================================    |  95%  |                                                                              |===================================================================   |  96%  |                                                                              |====================================================================  |  97%  |                                                                              |===================================================================== |  98%  |                                                                              |===================================================================== |  99%  |                                                                              |======================================================================| 100%
#>   |                                                                              |                                                                      |   0%  |                                                                              |=                                                                     |   1%  |                                                                              |=                                                                     |   2%  |                                                                              |==                                                                    |   3%  |                                                                              |===                                                                   |   4%  |                                                                              |====                                                                  |   5%  |                                                                              |====                                                                  |   6%  |                                                                              |=====                                                                 |   7%  |                                                                              |======                                                                |   8%  |                                                                              |======                                                                |   9%  |                                                                              |=======                                                               |  10%  |                                                                              |========                                                              |  11%  |                                                                              |========                                                              |  12%  |                                                                              |=========                                                             |  13%  |                                                                              |==========                                                            |  14%  |                                                                              |==========                                                            |  15%  |                                                                              |===========                                                           |  16%  |                                                                              |============                                                          |  17%  |                                                                              |=============                                                         |  18%  |                                                                              |=============                                                         |  19%  |                                                                              |==============                                                        |  20%  |                                                                              |===============                                                       |  21%  |                                                                              |===============                                                       |  22%  |                                                                              |================                                                      |  23%  |                                                                              |=================                                                     |  24%  |                                                                              |==================                                                    |  25%  |                                                                              |==================                                                    |  26%  |                                                                              |===================                                                   |  27%  |                                                                              |====================                                                  |  28%  |                                                                              |====================                                                  |  29%  |                                                                              |=====================                                                 |  30%  |                                                                              |======================                                                |  31%  |                                                                              |======================                                                |  32%  |                                                                              |=======================                                               |  33%  |                                                                              |========================                                              |  34%  |                                                                              |========================                                              |  35%  |                                                                              |=========================                                             |  36%  |                                                                              |==========================                                            |  37%  |                                                                              |===========================                                           |  38%  |                                                                              |===========================                                           |  39%  |                                                                              |============================                                          |  40%  |                                                                              |=============================                                         |  41%  |                                                                              |=============================                                         |  42%  |                                                                              |==============================                                        |  43%  |                                                                              |===============================                                       |  44%  |                                                                              |================================                                      |  45%  |                                                                              |================================                                      |  46%  |                                                                              |=================================                                     |  47%  |                                                                              |==================================                                    |  48%  |                                                                              |==================================                                    |  49%  |                                                                              |===================================                                   |  50%  |                                                                              |====================================                                  |  51%  |                                                                              |====================================                                  |  52%  |                                                                              |=====================================                                 |  53%  |                                                                              |======================================                                |  54%  |                                                                              |======================================                                |  55%  |                                                                              |=======================================                               |  56%  |                                                                              |========================================                              |  57%  |                                                                              |=========================================                             |  58%  |                                                                              |=========================================                             |  59%  |                                                                              |==========================================                            |  60%  |                                                                              |===========================================                           |  61%  |                                                                              |===========================================                           |  62%  |                                                                              |============================================                          |  63%  |                                                                              |=============================================                         |  64%  |                                                                              |==============================================                        |  65%  |                                                                              |==============================================                        |  66%  |                                                                              |===============================================                       |  67%  |                                                                              |================================================                      |  68%  |                                                                              |================================================                      |  69%  |                                                                              |=================================================                     |  70%  |                                                                              |==================================================                    |  71%  |                                                                              |==================================================                    |  72%  |                                                                              |===================================================                   |  73%  |                                                                              |====================================================                  |  74%  |                                                                              |====================================================                  |  75%  |                                                                              |=====================================================                 |  76%  |                                                                              |======================================================                |  77%  |                                                                              |=======================================================               |  78%  |                                                                              |=======================================================               |  79%  |                                                                              |========================================================              |  80%  |                                                                              |=========================================================             |  81%  |                                                                              |=========================================================             |  82%  |                                                                              |==========================================================            |  83%  |                                                                              |===========================================================           |  84%  |                                                                              |============================================================          |  85%  |                                                                              |============================================================          |  86%  |                                                                              |=============================================================         |  87%  |                                                                              |==============================================================        |  88%  |                                                                              |==============================================================        |  89%  |                                                                              |===============================================================       |  90%  |                                                                              |================================================================      |  91%  |                                                                              |================================================================      |  92%  |                                                                              |=================================================================     |  93%  |                                                                              |==================================================================    |  94%  |                                                                              |==================================================================    |  95%  |                                                                              |===================================================================   |  96%  |                                                                              |====================================================================  |  97%  |                                                                              |===================================================================== |  98%  |                                                                              |===================================================================== |  99%  |                                                                              |======================================================================| 100%
# print power estimates
results
#>    n.ch.per.trt intvn.effect power  ci.lower  ci.upper
#> 1             2          0.0  0.20 0.1266556 0.2918427
#> 2             4          0.0  0.17 0.1022649 0.2581754
#> 3             6          0.0  0.12 0.0635689 0.2002357
#> 4             8          0.0  0.09 0.0419836 0.1639823
#> 5             2          0.4  0.55 0.4472802 0.6496798
#> 6             4          0.4  0.50 0.3983211 0.6016789
#> 7             6          0.4  0.49 0.3886442 0.5919637
#> 8             8          0.4  0.60 0.4972092 0.6967052
#> 9             2          0.5  0.57 0.4671337 0.6686090
#> 10            4          0.5  0.64 0.5378781 0.7335916
#> 11            6          0.5  0.79 0.6970846 0.8650563
#> 12            8          0.5  0.93 0.8610803 0.9713947
#> 13            2          0.6  0.69 0.5896854 0.7787112
#> 14            4          0.6  0.90 0.8237774 0.9509953
#> 15            6          0.6  0.97 0.9148239 0.9937700
#> 16            8          0.6  0.99 0.9455406 0.9997469
#> 17            2          0.8  0.95 0.8871651 0.9835681
#> 18            4          0.8  0.99 0.9455406 0.9997469
#> 19            6          0.8  1.00 0.9637833 1.0000000
#> 20            8          0.8  1.00 0.9637833 1.0000000
  1. Now plot the resulting power estimates vs. number of chambers per treatment or effect sizes.
# install.packages("ggplot2") if not yet installed
library(ggplot2)
results$intvn.effect <- factor(results$intvn.effect, levels = sort(unique(results$intvn.effect), decreasing = TRUE))
ggplot(results, aes(x = n.ch.per.trt, y = power, color = factor(intvn.effect), group = intvn.effect)) +
  geom_point(size = 2) +
  geom_line(linewidth = 0.8) +
  geom_errorbar(aes(ymin = ci.lower, ymax = ci.upper),
                width = 0.3, linewidth = 0.6) +
  geom_hline(yintercept = 0.8, linetype = "twodash", color = "gray50") +
  geom_hline(yintercept = 0.05, linetype = "longdash", color = "gray50") +
  scale_y_continuous(labels = scales::percent, limits = c(0, 1), breaks = seq(0, 1, 0.2)) +
  scale_color_brewer(palette = "Dark2", name = "Effect size \n(% reduction)",
                       labels = function(x) as.character(as.numeric(x) * 100)) +
  labs(
    x = "Number of chambers per treatment",
    y = "Estimated power",
    title = "Power vs. number of chamber per treatment by intervention effect Size"
  ) +
  theme_bw()

Example II: Estimating power of a short-term SFE testing combined interventions

Since we have demonstrated all steps for power estimation in Example I, in this example we will demonstrate only few steps. Note that, to estimate power you only need one function called “sim.power.shortsfe.comint()”. However, for learning purpose we demonstrate how other functions work as shown below.

Notes: In this case study, we considered number of chambers per treatment (“n.ch.per.trt”), which can be 4; number of recaptured mosquitoes (“lambda”), which can be 50; effect of intervention 1 alone “intvn1.effect”, which is 0.7; effect of intervention 2 alone “intvn2.effect”, which is 0.8; interaction effect between intvn1 and intvn2 (“ixn.effect”), which can be 0.5; inter-chamber variance (“chamber.var”), which can be 0.1807; and total number of simulations (“nsim”), which is 100 for demonstration, but we suggest at least 1000 simulation.

Notes: Some functions has options where you can simulate or plot mosquitoes and estimate p-values or power while utilizing the “use.random” input. You can simulate or plot mosquitoes and estimate p-values or power while taking into account random effects using “use.random = TRUE”, fixed effect only using “use.random = FALSE”, exponential function using “use.random = NULL”, or all options using ‘use.random = “ALL”’. Note that, “use.random = NULL” and ‘use.random = “ALL”’ only works for simulating or plotting mosquitoes. This applies for all functions throughout the package, except those simulating scenario tables.

I. Simulate scenario table for SFE testing combined interventions. For more information on each input below, type “?sim.scen.shortsfe.comint” in RStudio

scen.table <- sim.scen.shortsfe.comint(n.ch.per.trt = 4)
#print a scenario table
#scen.table
  1. Simulate mosquitoes counts/abundance for SFE testing combined interventions. For more information on each input below, type “?sim.mosq.shortsfe.comint” in RStudio.
# You can simulate mosquitoes accounting for random effects using "use.random = TRUE".
# You can simulate mosquitoes accounting for  fixed effect using "use.random = FALSE".
# You can simulate mosquitoes from exponential function using "use.random = NULL".
# You can simulate mosquitoes for all options above using 'use.random = "ALL"'.
sim.mosq.shortsfe.comint(
  n.ch.per.trt = 4,
  lambda = 50,
  intvn1.effect = 0.7,
  intvn2.effect = 0.8,
  ixn.effect = 0.5,
  chamber.var = 0.1807,
  use.random = "ALL"
)
#>    replicates intvn1 intvn2 ixn chamber lin.pred.fixed lin.pred.random
#> 1           1      0      0   0   0-0-1      3.9120230      3.76288196
#> 2           2      0      0   0   0-0-2      3.9120230      3.34714851
#> 3           3      0      0   0   0-0-3      3.9120230      3.51032108
#> 4           4      0      0   0   0-0-4      3.9120230      3.87898501
#> 5           1      1      0   0   1-0-1      2.7080502      2.58206743
#> 6           2      1      0   0   1-0-2      2.7080502      2.48343787
#> 7           3      1      0   0   1-0-3      2.7080502      3.16899482
#> 8           4      1      0   0   1-0-4      2.7080502      1.80549453
#> 9           1      0      1   0   0-1-1      2.3025851      2.58265774
#> 10          2      0      1   0   0-1-2      2.3025851      1.94357387
#> 11          3      0      1   0   0-1-3      2.3025851      2.20914600
#> 12          4      0      1   0   0-1-4      2.3025851      2.61054701
#> 13          1      1      1   1   1-1-1      0.4054651     -0.38195992
#> 14          2      1      1   1   1-1-2      0.4054651     -0.38501659
#> 15          3      1      1   1   1-1-3      0.4054651      0.68985210
#> 16          4      1      1   1   1-1-4      0.4054651      0.08903541
#>    mosquito.count.fixed.exp mosquito.count.fixed mosquito.count.random
#> 1                      50.0                   45                    41
#> 2                      50.0                   54                    25
#> 3                      50.0                   47                    25
#> 4                      50.0                   51                    44
#> 5                      15.0                   13                    20
#> 6                      15.0                   18                     6
#> 7                      15.0                   12                    26
#> 8                      15.0                   11                     3
#> 9                      10.0                   10                    12
#> 10                     10.0                    9                    11
#> 11                     10.0                    8                     4
#> 12                     10.0                    8                    15
#> 13                      1.5                    3                     0
#> 14                      1.5                    1                     0
#> 15                      1.5                    2                     2
#> 16                      1.5                    1                     0
  1. Plot mosquitoes counts/abundance for SFE testing combined interventions. For more information on each input below, type “?sim.plot.shortsfe.comint” in RStudio
# Plot mosquitoes with random effects using "use.random = TRUE".
# You can also plot with fixed effect using "use.random = FALSE".
# You can also plot mosquito exponential function using "use.random = NULL".
plot_mosquitoes <- sim.plot.shortsfe.comint(
  n.ch.per.trt = 4,
  lambda = 50,
  intvn1.effect = 0.7,
  intvn2.effect = 0.8,
  ixn.effect = 0.5,
  chamber.var = 0.1807,
  use.random = TRUE,
  jitter = TRUE
)
  1. Estimate p-values from mosquitoes counts/abundance data for SFE testing combined interventions. For more information on each input below, type “?sim.pval.shortsfe.comint” in RStudio
# Estimate p-value, account for random effects using "use.random = TRUE".
# Estimate p-value, account for fixed effect only using "use.random = FALSE".
pvalue_est <- sim.pval.shortsfe.comint(
  n.ch.per.trt = 4,
  lambda = 50,
  intvn1.effect = 0.7,
  intvn2.effect = 0.8,
  ixn.effect = 0.5,
  chamber.var = 0.1807,
  use.random = TRUE
)

V. Estimate power for SFE testing combined interventions. For more information on each input below, type “?sim.power.shortsfe.comint” in RStudio. If you computer has multiple cores, you can specify what amount of core you want to utilise using “n.cores”; if not, just use “n.cores = 1” as default. You may even decide to remove n.cores if you don’t want to use it.

# Estimate p-value, account for random effects using "use.random = TRUE".
# Estimate p-value, account for fixed effect only using "use.random = FALSE".
power_est <- sim.power.shortsfe.comint(
  n.ch.per.trt = 4,
  lambda = 50,
  intvn1.effect = 0.7,
  intvn2.effect = 0.8,
  ixn.effect = 0.5,
  chamber.var = 0.1807,
  nsim = 100,
  n.cores = 1,
  use.random = TRUE
)
#>   |                                                                              |                                                                      |   0%  |                                                                              |=                                                                     |   1%  |                                                                              |=                                                                     |   2%  |                                                                              |==                                                                    |   3%  |                                                                              |===                                                                   |   4%  |                                                                              |====                                                                  |   5%  |                                                                              |====                                                                  |   6%  |                                                                              |=====                                                                 |   7%  |                                                                              |======                                                                |   8%  |                                                                              |======                                                                |   9%  |                                                                              |=======                                                               |  10%  |                                                                              |========                                                              |  11%  |                                                                              |========                                                              |  12%  |                                                                              |=========                                                             |  13%  |                                                                              |==========                                                            |  14%  |                                                                              |==========                                                            |  15%  |                                                                              |===========                                                           |  16%  |                                                                              |============                                                          |  17%  |                                                                              |=============                                                         |  18%  |                                                                              |=============                                                         |  19%  |                                                                              |==============                                                        |  20%  |                                                                              |===============                                                       |  21%  |                                                                              |===============                                                       |  22%  |                                                                              |================                                                      |  23%  |                                                                              |=================                                                     |  24%  |                                                                              |==================                                                    |  25%  |                                                                              |==================                                                    |  26%  |                                                                              |===================                                                   |  27%  |                                                                              |====================                                                  |  28%  |                                                                              |====================                                                  |  29%  |                                                                              |=====================                                                 |  30%  |                                                                              |======================                                                |  31%  |                                                                              |======================                                                |  32%  |                                                                              |=======================                                               |  33%  |                                                                              |========================                                              |  34%  |                                                                              |========================                                              |  35%  |                                                                              |=========================                                             |  36%  |                                                                              |==========================                                            |  37%  |                                                                              |===========================                                           |  38%  |                                                                              |===========================                                           |  39%  |                                                                              |============================                                          |  40%  |                                                                              |=============================                                         |  41%  |                                                                              |=============================                                         |  42%  |                                                                              |==============================                                        |  43%  |                                                                              |===============================                                       |  44%  |                                                                              |================================                                      |  45%  |                                                                              |================================                                      |  46%  |                                                                              |=================================                                     |  47%  |                                                                              |==================================                                    |  48%  |                                                                              |==================================                                    |  49%  |                                                                              |===================================                                   |  50%  |                                                                              |====================================                                  |  51%  |                                                                              |====================================                                  |  52%  |                                                                              |=====================================                                 |  53%  |                                                                              |======================================                                |  54%  |                                                                              |======================================                                |  55%  |                                                                              |=======================================                               |  56%  |                                                                              |========================================                              |  57%  |                                                                              |=========================================                             |  58%  |                                                                              |=========================================                             |  59%  |                                                                              |==========================================                            |  60%  |                                                                              |===========================================                           |  61%  |                                                                              |===========================================                           |  62%  |                                                                              |============================================                          |  63%  |                                                                              |=============================================                         |  64%  |                                                                              |==============================================                        |  65%  |                                                                              |==============================================                        |  66%  |                                                                              |===============================================                       |  67%  |                                                                              |================================================                      |  68%  |                                                                              |================================================                      |  69%  |                                                                              |=================================================                     |  70%  |                                                                              |==================================================                    |  71%  |                                                                              |==================================================                    |  72%  |                                                                              |===================================================                   |  73%  |                                                                              |====================================================                  |  74%  |                                                                              |====================================================                  |  75%  |                                                                              |=====================================================                 |  76%  |                                                                              |======================================================                |  77%  |                                                                              |=======================================================               |  78%  |                                                                              |=======================================================               |  79%  |                                                                              |========================================================              |  80%  |                                                                              |=========================================================             |  81%  |                                                                              |=========================================================             |  82%  |                                                                              |==========================================================            |  83%  |                                                                              |===========================================================           |  84%  |                                                                              |============================================================          |  85%  |                                                                              |============================================================          |  86%  |                                                                              |=============================================================         |  87%  |                                                                              |==============================================================        |  88%  |                                                                              |==============================================================        |  89%  |                                                                              |===============================================================       |  90%  |                                                                              |================================================================      |  91%  |                                                                              |================================================================      |  92%  |                                                                              |=================================================================     |  93%  |                                                                              |==================================================================    |  94%  |                                                                              |==================================================================    |  95%  |                                                                              |===================================================================   |  96%  |                                                                              |====================================================================  |  97%  |                                                                              |===================================================================== |  98%  |                                                                              |===================================================================== |  99%  |                                                                              |======================================================================| 100%

Example III: Estimating power of a long-term SFE testing single intervention

Again, since we have demonstrated all steps for power estimation in Example I, in this example we will demonstrate only few steps. Note that, to estimate power for long-term SFE testing single intervention, you only need to apply one function called “sim.power.longsfe.sinint()”. However, for learning purpose we demonstrate how other functions work as shown below.

Notes: In this case, we consider number of chambers per treatment (“n.ch.per.trt”), e.g., 4; length of experiment (“exp.length”), which specify the length of experiment in days, e.g., a 3 months experiments has a length of 90 days; frequency of sampling (“sampl.freq”), which means how often will you be sampling adult mosquitoes, e.g., “weekly” sampling for a 3 months experiment means you sample adult mosquitoes only 12 times.; number of mosquitoes to be sampled (“lambda”), e.g., 10; intervention effect over time (“intvn.effect”), e.g., 0.8; inter-chamber variance (“chamber.var”), e.g., 0.1807; time variance (“time.var), e.g., 0.2266; dispersion parameter (“theta”), e.g., 10; and total number of simulations (“nsim”), e.g., 100 for demonstration, but we suggest using at least 1000 simulations.

I. Simulate scenario table for a long-term SFE testing single intervention. For more information on each input below, type “?sim.scen.longsfe.sinint” in RStudio.

scen.table <- sim.scen.longsfe.sinint(
n.ch.per.trt = 4,
exp.length = 90,
sampl.freq = "weekly"
)
#print a scenario table
#scen.table
  1. Simulate mosquitoes counts/abundance for a long-term SFE testing single intervention. For more information on each input below, type “?sim.mosq.longsfe.sinint” in RStudio
# You can simulate mosquitoes accounting for random effects using "use.random = TRUE".
# You can simulate mosquitoes accounting for  fixed effect using "use.random = FALSE".
# You can simulate mosquitoes from exponential function using "use.random = NULL".
# You can simulate mosquitoes for all options above using 'use.random = "ALL"'.
sim_mosq <- sim.mosq.longsfe.sinint(
  n.ch.per.trt = 4,
  exp.length = 90,
  sampl.freq = "weekly",
  lambda = 10,
  intvn.effect = 0.8,
  chamber.var = 0.1807,
  time.var = 0.2266,
  theta = 10,
  use.random = "ALL"
)
  1. Plot mosquitoes counts/abundance for long-term SFE testing single intervention. For more information on each input below, type “?sim.plot.longsfe.sinint” in RStudio
# You can plot mosquitoes with random effects using "use.random = TRUE".
plot_mosq1 <- sim.plot.longsfe.sinint(
  n.ch.per.trt = 4,
  exp.length = 90,
  sampl.freq = "weekly",
  lambda = 10,
  intvn.effect = 0.8,
  chamber.var = 0.1807,
  time.var = 0.2266,
  theta = 10,
  use.random = TRUE
)
plot_mosq1


# You can also plot with fixed effect using "use.random = FALSE".
plot_mosq2 <- sim.plot.longsfe.sinint(
  n.ch.per.trt = 4,
  exp.length = 90,
  sampl.freq = "weekly",
  lambda = 10,
  intvn.effect = 0.8,
  chamber.var = 0.1807,
  time.var = 0.2266,
  theta = 10,
  use.random = FALSE
)
plot_mosq2


# You can also plot mosquito from exponential function using "use.random = NULL".
plot_mosq3 <- sim.plot.longsfe.sinint(
  n.ch.per.trt = 4,
  exp.length = 90,
  sampl.freq = "weekly",
  lambda = 10,
  intvn.effect = 0.8,
  chamber.var = 0.1807,
  time.var = 0.2266,
  theta = 10,
  use.random = NULL
)
plot_mosq3

  1. Estimate p-values from mosquitoes counts/abundance data for long-term SFE testing single intervention. For more information on each input below, type “?sim.pval.longsfe.sinint” in RStudio
# Estimate p-value, account for random effects using "use.random = TRUE".
# Estimate p-value, account for fixed effect only using "use.random = FALSE".
pvalue_est <- sim.pval.longsfe.sinint(
  n.ch.per.trt = 4,
  exp.length = 90,
  sampl.freq = "weekly",
  lambda = 10,
  intvn.effect = 0.8,
  chamber.var = 0.1807,
  time.var = 0.2266,
  theta = 10,
  use.random = TRUE
)

V. Estimate power for long-term SFE testing single intervention. For more information on each input below, type “?sim.power.longsfe.sinint” in RStudio. If you computer has multiple cores, you can specify what amount of core you want to utilise using “n.cores”; if not, just use “n.cores = 1” as default. You may even decide to remove n.cores if you don’t want to use it.

# Estimate p-value, account for random effects using "use.random = TRUE".
# Estimate p-value, account for fixed effect only using "use.random = FALSE".
power_est <- sim.power.longsfe.sinint(
  n.ch.per.trt = 4,
  exp.length = 90,
  sampl.freq = "weekly",
  lambda = 10,
  intvn.effect = 0.8,
  chamber.var = 0.1807,
  time.var = 0.2266,
  theta = 10,
  nsim = 100,
  n.cores = 1,
  use.random = TRUE
)
#>   |                                                                              |                                                                      |   0%  |                                                                              |=                                                                     |   1%  |                                                                              |=                                                                     |   2%  |                                                                              |==                                                                    |   3%  |                                                                              |===                                                                   |   4%  |                                                                              |====                                                                  |   5%  |                                                                              |====                                                                  |   6%  |                                                                              |=====                                                                 |   7%  |                                                                              |======                                                                |   8%  |                                                                              |======                                                                |   9%  |                                                                              |=======                                                               |  10%  |                                                                              |========                                                              |  11%  |                                                                              |========                                                              |  12%  |                                                                              |=========                                                             |  13%  |                                                                              |==========                                                            |  14%  |                                                                              |==========                                                            |  15%  |                                                                              |===========                                                           |  16%  |                                                                              |============                                                          |  17%  |                                                                              |=============                                                         |  18%  |                                                                              |=============                                                         |  19%  |                                                                              |==============                                                        |  20%  |                                                                              |===============                                                       |  21%  |                                                                              |===============                                                       |  22%  |                                                                              |================                                                      |  23%  |                                                                              |=================                                                     |  24%  |                                                                              |==================                                                    |  25%  |                                                                              |==================                                                    |  26%  |                                                                              |===================                                                   |  27%  |                                                                              |====================                                                  |  28%  |                                                                              |====================                                                  |  29%  |                                                                              |=====================                                                 |  30%  |                                                                              |======================                                                |  31%  |                                                                              |======================                                                |  32%  |                                                                              |=======================                                               |  33%  |                                                                              |========================                                              |  34%  |                                                                              |========================                                              |  35%  |                                                                              |=========================                                             |  36%  |                                                                              |==========================                                            |  37%  |                                                                              |===========================                                           |  38%  |                                                                              |===========================                                           |  39%  |                                                                              |============================                                          |  40%  |                                                                              |=============================                                         |  41%  |                                                                              |=============================                                         |  42%  |                                                                              |==============================                                        |  43%  |                                                                              |===============================                                       |  44%  |                                                                              |================================                                      |  45%  |                                                                              |================================                                      |  46%  |                                                                              |=================================                                     |  47%  |                                                                              |==================================                                    |  48%  |                                                                              |==================================                                    |  49%  |                                                                              |===================================                                   |  50%  |                                                                              |====================================                                  |  51%  |                                                                              |====================================                                  |  52%  |                                                                              |=====================================                                 |  53%  |                                                                              |======================================                                |  54%  |                                                                              |======================================                                |  55%  |                                                                              |=======================================                               |  56%  |                                                                              |========================================                              |  57%  |                                                                              |=========================================                             |  58%  |                                                                              |=========================================                             |  59%  |                                                                              |==========================================                            |  60%  |                                                                              |===========================================                           |  61%  |                                                                              |===========================================                           |  62%  |                                                                              |============================================                          |  63%  |                                                                              |=============================================                         |  64%  |                                                                              |==============================================                        |  65%  |                                                                              |==============================================                        |  66%  |                                                                              |===============================================                       |  67%  |                                                                              |================================================                      |  68%  |                                                                              |================================================                      |  69%  |                                                                              |=================================================                     |  70%  |                                                                              |==================================================                    |  71%  |                                                                              |==================================================                    |  72%  |                                                                              |===================================================                   |  73%  |                                                                              |====================================================                  |  74%  |                                                                              |====================================================                  |  75%  |                                                                              |=====================================================                 |  76%  |                                                                              |======================================================                |  77%  |                                                                              |=======================================================               |  78%  |                                                                              |=======================================================               |  79%  |                                                                              |========================================================              |  80%  |                                                                              |=========================================================             |  81%  |                                                                              |=========================================================             |  82%  |                                                                              |==========================================================            |  83%  |                                                                              |===========================================================           |  84%  |                                                                              |============================================================          |  85%  |                                                                              |============================================================          |  86%  |                                                                              |=============================================================         |  87%  |                                                                              |==============================================================        |  88%  |                                                                              |==============================================================        |  89%  |                                                                              |===============================================================       |  90%  |                                                                              |================================================================      |  91%  |                                                                              |================================================================      |  92%  |                                                                              |=================================================================     |  93%  |                                                                              |==================================================================    |  94%  |                                                                              |==================================================================    |  95%  |                                                                              |===================================================================   |  96%  |                                                                              |====================================================================  |  97%  |                                                                              |===================================================================== |  98%  |                                                                              |===================================================================== |  99%  |                                                                              |======================================================================| 100%

Example IV: Estimating power of a long-term SFE testing combined interventions

Again, since we have demonstrated all steps for power estimation in Example I, in this example we will demonstrate only few steps. Note that, to estimate power for long-term SFE testing combined interventions, you only need to apply one function called “sim.power.longsfe.comint()”. However, for learning purpose we demonstrate how other functions work as shown below.

Notes: In this case, we consider intervention 1 effect over time (“intvn1.effect”), e.g., 0.7; intervention 2 effect over time (“intvn2.effect”), e.g., 0.8; interaction between intervention 1 and 2 (“ixn.effect”), e.g., 0.5; inter-chamber variance (“chamber.var”), e.g., 0.1807; time variance (“time.var), e.g., 0.2266; dispersion parameter (“theta”), e.g., 10; and total number of simulations (“nsim”), e.g., 100 for demonstration, but we suggest using at least 1000 simulations.

I. Simulate scenario table for a long-term SFE testing combined interventions. For more information on each input below, type “?sim.scen.longsfe.comint” in RStudio.

scen.table <- sim.scen.longsfe.comint(
  n.ch.per.trt = 4,
  exp.length = 90,
  sampl.freq = "weekly"
)
#print a scenario table
#scen.table
  1. Simulate mosquitoes counts/abundance for a long-term SFE testing combined interventions. For more information on each input below, type “?sim.mosq.longsfe.comint” in RStudio
# You can simulate mosquitoes accounting for random effects using "use.random = TRUE".
# You can simulate mosquitoes accounting for  fixed effect using "use.random = FALSE".
# You can simulate mosquitoes from exponential function using "use.random = NULL".
# You can simulate mosquitoes for all options above using 'use.random = "ALL"'.
sim_mosq <- sim.mosq.longsfe.comint(
  n.ch.per.trt = 4,
  exp.length = 90,
  sampl.freq = "weekly",
  lambda = 10,
  intvn1.effect = 0.7,
  intvn2.effect = 0.8,
  ixn.effect = 0.8,
  chamber.var = 0.1807,
  time.var = 0.2266,
  theta = 10,
  use.random = "ALL"
)
  1. Plot mosquitoes counts/abundance for long-term SFE testing combined interventions. For more information on each input below, type “?sim.plot.longsfe.comint” in RStudio
# Plot mosquitoes with random effects using "use.random = TRUE".
plot_mosq1 <- sim.plot.longsfe.comint(
  n.ch.per.trt = 4,
  exp.length = 90,
  sampl.freq = "weekly",
  lambda = 10,
  intvn1.effect = 0.7,
  intvn2.effect = 0.8,
  ixn.effect = 0.8,
  chamber.var = 0.1807,
  time.var = 0.2266,
  theta = 10,
  use.random = TRUE
)
plot_mosq1

# You can also plot with fixed effect using "use.random = FALSE".
plot_mosq2 <- sim.plot.longsfe.comint(
  n.ch.per.trt = 4,
  exp.length = 90,
  sampl.freq = "weekly",
  lambda = 10,
  intvn1.effect = 0.7,
  intvn2.effect = 0.8,
  ixn.effect = 0.8,
  chamber.var = 0.1807,
  time.var = 0.2266,
  theta = 10,
  use.random = FALSE
)
plot_mosq2

# You can also plot mosquito from exponential function using "use.random = NULL".
plot_mosq3 <- sim.plot.longsfe.comint(
  n.ch.per.trt = 4,
  exp.length = 90,
  sampl.freq = "weekly",
  lambda = 10,
  intvn1.effect = 0.7,
  intvn2.effect = 0.8,
  ixn.effect = 0.8,
  chamber.var = 0.1807,
  time.var = 0.2266,
  theta = 10,
  use.random = NULL
)
plot_mosq3

  1. Estimate p-values from mosquitoes counts/abundance data for long-term SFE testing combined interventions. For more information on each input below, type “?sim.pval.longsfe.comint” in RStudio
# Estimate p-value, account for random effects using "use.random = TRUE".
# Estimate p-value, account for fixed effect only using "use.random = FALSE".
pvalue_est <- sim.pval.longsfe.comint(
  n.ch.per.trt = 4,
  exp.length = 90,
  sampl.freq = "weekly",
  lambda = 10,
  intvn1.effect = 0.7,
  intvn2.effect = 0.8,
  ixn.effect = 0.8,
  chamber.var = 0.1807,
  time.var = 0.2266,
  theta = 10,
  use.random = TRUE
)

V. Estimate power for long-term SFE testing combined interventions. For more information on each input below, type “?sim.power.longsfe.comint” in RStudio. If you computer has multiple cores, you can specify what amount of core you want to utilize using “n.cores”; if not, just use “n.cores = 1” as default. You may even decide to remove n.cores if you don’t want to use it.

# Estimate power, account for random effects using "use.random = TRUE".
# Estimate power, account for fixed effect only using "use.random = FALSE".
power_est <- sim.power.longsfe.comint(
  n.ch.per.trt = 4,
  exp.length = 90,
  sampl.freq = "weekly",
  lambda = 10,
  intvn1.effect = 0.7,
  intvn2.effect = 0.8,
  ixn.effect = 0.8,
  chamber.var = 0.1807,
  time.var = 0.2266,
  theta = 10,
  nsim = 100,
  n.cores = 1,
  use.random = TRUE
)
#>   |                                                                              |                                                                      |   0%  |                                                                              |=                                                                     |   1%  |                                                                              |=                                                                     |   2%  |                                                                              |==                                                                    |   3%  |                                                                              |===                                                                   |   4%  |                                                                              |====                                                                  |   5%  |                                                                              |====                                                                  |   6%  |                                                                              |=====                                                                 |   7%  |                                                                              |======                                                                |   8%  |                                                                              |======                                                                |   9%  |                                                                              |=======                                                               |  10%  |                                                                              |========                                                              |  11%  |                                                                              |========                                                              |  12%  |                                                                              |=========                                                             |  13%  |                                                                              |==========                                                            |  14%  |                                                                              |==========                                                            |  15%  |                                                                              |===========                                                           |  16%  |                                                                              |============                                                          |  17%  |                                                                              |=============                                                         |  18%  |                                                                              |=============                                                         |  19%  |                                                                              |==============                                                        |  20%  |                                                                              |===============                                                       |  21%  |                                                                              |===============                                                       |  22%  |                                                                              |================                                                      |  23%  |                                                                              |=================                                                     |  24%  |                                                                              |==================                                                    |  25%  |                                                                              |==================                                                    |  26%  |                                                                              |===================                                                   |  27%  |                                                                              |====================                                                  |  28%  |                                                                              |====================                                                  |  29%  |                                                                              |=====================                                                 |  30%  |                                                                              |======================                                                |  31%  |                                                                              |======================                                                |  32%  |                                                                              |=======================                                               |  33%  |                                                                              |========================                                              |  34%  |                                                                              |========================                                              |  35%  |                                                                              |=========================                                             |  36%  |                                                                              |==========================                                            |  37%  |                                                                              |===========================                                           |  38%  |                                                                              |===========================                                           |  39%  |                                                                              |============================                                          |  40%  |                                                                              |=============================                                         |  41%  |                                                                              |=============================                                         |  42%  |                                                                              |==============================                                        |  43%  |                                                                              |===============================                                       |  44%  |                                                                              |================================                                      |  45%  |                                                                              |================================                                      |  46%  |                                                                              |=================================                                     |  47%  |                                                                              |==================================                                    |  48%  |                                                                              |==================================                                    |  49%  |                                                                              |===================================                                   |  50%  |                                                                              |====================================                                  |  51%  |                                                                              |====================================                                  |  52%  |                                                                              |=====================================                                 |  53%  |                                                                              |======================================                                |  54%  |                                                                              |======================================                                |  55%  |                                                                              |=======================================                               |  56%  |                                                                              |========================================                              |  57%  |                                                                              |=========================================                             |  58%  |                                                                              |=========================================                             |  59%  |                                                                              |==========================================                            |  60%  |                                                                              |===========================================                           |  61%  |                                                                              |===========================================                           |  62%  |                                                                              |============================================                          |  63%  |                                                                              |=============================================                         |  64%  |                                                                              |==============================================                        |  65%  |                                                                              |==============================================                        |  66%  |                                                                              |===============================================                       |  67%  |                                                                              |================================================                      |  68%  |                                                                              |================================================                      |  69%  |                                                                              |=================================================                     |  70%  |                                                                              |==================================================                    |  71%  |                                                                              |==================================================                    |  72%  |                                                                              |===================================================                   |  73%  |                                                                              |====================================================                  |  74%  |                                                                              |====================================================                  |  75%  |                                                                              |=====================================================                 |  76%  |                                                                              |======================================================                |  77%  |                                                                              |=======================================================               |  78%  |                                                                              |=======================================================               |  79%  |                                                                              |========================================================              |  80%  |                                                                              |=========================================================             |  81%  |                                                                              |=========================================================             |  82%  |                                                                              |==========================================================            |  83%  |                                                                              |===========================================================           |  84%  |                                                                              |============================================================          |  85%  |                                                                              |============================================================          |  86%  |                                                                              |=============================================================         |  87%  |                                                                              |==============================================================        |  88%  |                                                                              |==============================================================        |  89%  |                                                                              |===============================================================       |  90%  |                                                                              |================================================================      |  91%  |                                                                              |================================================================      |  92%  |                                                                              |=================================================================     |  93%  |                                                                              |==================================================================    |  94%  |                                                                              |==================================================================    |  95%  |                                                                              |===================================================================   |  96%  |                                                                              |====================================================================  |  97%  |                                                                              |===================================================================== |  98%  |                                                                              |===================================================================== |  99%  |                                                                              |======================================================================| 100%
# Print power
power_est
#>     power  ci.lower  ci.upper 
#> 0.7300000 0.6319837 0.8139336

mirror server hosted at Truenetwork, Russian Federation.